AI,你的赛博格队友
神译局是36氪旗下编译团队,关注科技、商业、职场、生活等领域,重点介绍国外的新技术、新观点、新风向。
编者按:当AI化身“赛博格队友”,人机协作将如何重塑未来工作?哈佛与宝洁联合实验揭示:AI不仅令单人效能匹敌传统团队,更能打破专业壁垒,让新手像专家一样思考,甚至还能改善工作情绪。研究呼吁企业超越“效率工具”思维,以组织变革拥抱人机共生的新范式。文章来自编译。
过去几年间,从顾问、律师到程序员等,我们已经见证了AI能提升知识工作者个体的生产力。但知识工作大多并非纯粹的个体行为,而是要靠团队协作才能完成。团队不仅是成员的简单集合,团队还提供个人难以企及的关键优势——包括更高绩效、专业知识共享,还有社会关系等。
如果将AI当作团队的一员会发生什么?去年夏季,我们在消费品巨头宝洁公司开展了一项预注册的随机对照试验,对776名专业人员进行了研究。
研究结果已发表于最新工作论文《赛博格队友:生成式AI重塑团队协作与专业知识的现场实验》。鉴于项目规模,这项研究由哈佛大学数字数据设计研究所协调,法布里齐奥·德尔阿夸、查尔斯·阿尤比、卡里姆·拉哈尼主导,联合希拉·利夫希茨、拉斐拉·萨顿、莉拉赫·莫里克、本人及宝洁团队(韩毅、杰夫·戈德曼、哈里·奈尔、斯图尔特·陶布)共同完成。
为了对AI应用场景进行实测,我们在宝洁支持下复现了其产品开发流程(该公司并未干预结果或数据)。来自欧美地区的专业人员,必须在一天的工作坊当中,为其实际服务的业务部门(涵盖婴儿护理、女性护理、理容和口腔护理)开发产品创意、包装设计和零售策略等。提出最佳方案的团队会把方案提交给管理层审批,所以这项任务是存在实际利益关联的。
实验对象分为商业专家与技术研发专家两类,这些人在宝洁平均都有超过10年的工作经验。我们随机从这两类专家各抽取1人组成团队:半数团队可使用GPT-4或GPT-4o,半数不可使用;另外再随机抽取专家独立工作,其中半数可以访问AI。所有AI组均接受培训并可获取提示词模板(可修改使用)。这样的设计可以将AI与协作的独立效应与联合效应隔离开来。我们从方案质量(每方案至少两位专家评审)、耗时和参与者情绪等多维度评估了结果,发现了一些有趣现象。
AI提升绩效
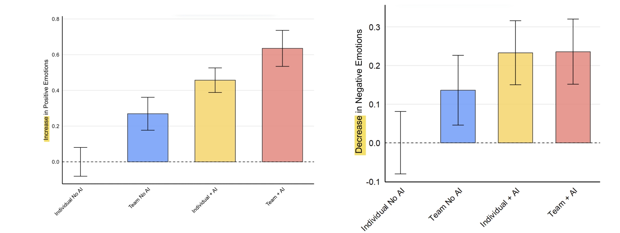
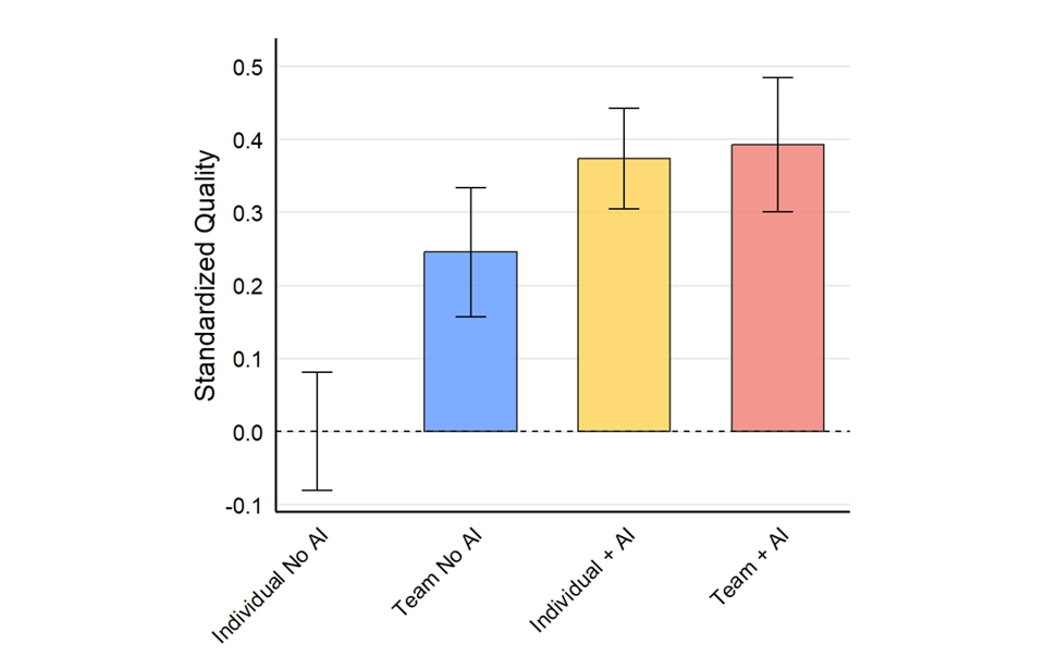
未使用AI时,团队表现显著优于个人(标准差为0.24,这个结果让强调团队价值的教师和管理者倍感欣慰)。但运用了AI的个体表现与未用AI的团队表现持平(较基线提升0.37标准差),这意味着AI能复现人类队友的效能——单人+AI即可达到过往双人协作的效果。
AI团队整体表现最佳(提升了0.39标准差),但与个体使用AI的表现差异无统计学意义。但在观察质量最好的前10%的顶尖方案时,AI团队输出此类方案的概率显著更高,表明人类团队协作的价值比个人光靠AI单打独斗的价值高。
用了AI的组工作效率显著提升,耗时减少12-16%,且产出的方案比不用AI的组更详尽,更完整。
专业壁垒消失
未使用AI时,受试者在解决问题时存在明显的专业烟囱:研发专家倾向得出技术导向的方案,商业专家侧重市场思维。当两类专家在无AI条件下协作时,跨职能合作能输出更平衡的方案(团队协作再次胜出!)。
但AI在此领域再显威力。无论是团队还是个人,研发专家与商业专家在AI辅助下均能输出整合了技术-商业双重视角的平衡方案。如下图所示,AI条件下专家界限几乎消失,团队亦呈现出类似的效应。
此效应对产品开发经验较浅者尤为明显。在没有AI的情况下,此类员工即使在团队中的表现也相对欠佳;但有了AI助力之后,其表现一下子就达到了包含有资深成员的团队水平。可见AI有效弥合了职能知识鸿沟,让大家突破了专业训练局限来思考与创造,让新手也能像专家一样行动。
AI改善工作情绪
最意外的发现是AI对工作情绪的影响。技术变革(尤其是AI)往往跟满意度下降和压力上升相关联,但本研究却显示出相反的结果。
相较于无AI组(团队或个人),使用AI者的积极情绪上升、消极情绪下降。AI用户报告的兴奋感、活力和热情更高,焦虑与挫败感更低。使用AI的个体组的情绪体验与人类团队组相当甚至更优。
尽管我们通过预注册随机对照试验开展严谨研究,但此类研究仍有局限。比方说:更大规模的团队写作或更长期的AI协作可能会产生不同结果;本研究结果或许是下限——实验是基于性能弱于最新模型的GPT-4/4o,受试者的提示词经验有限,且聊天机器人本来就不是为团队协作而设计的。论文对此有详述,但抛开限制,更关键的问题是:这些发现有何重要意味?
研究意义
企业大都将AI视为效率工具(如升级版计算器或表格),刚开始的时候这种看法是合理的,但随着模型的进化,以及用户将AI更多用于批判性思维和复杂问题(而非日常事务),这样的认知就慢慢显得局限了。只是关注用AI来提效的企业,不仅会因为员工担忧被替代风险而阻碍了AI经验的共享,更有可能会错失重构未来工作的机遇。
企业需要转换自己的认知框架:AI有时候更像是队友而非工具。虽然不是人类,但AI却能复现团队协作的核心优势——提升绩效、共享专业知识以及制造积极情绪。这种“队友视角”将推动企业重新思考对AI的定位,重新思考如何调整团队结构、培训体系甚至专业的边界。至少在现有AI工具下,AI增强了人类能力,使专业知识大众化,让更多员工能实质性地参与到专业任务当中,甚至开辟出职业的新路径。
最激动人心的启示或许是:AI不仅自动化了既有的任务,更改变了我们对工作本质的认知。未来工作不仅与个体适应AI相关,更要求企业重构团队协作与管理架构的底层逻辑。这一挑战不仅需要技术方案,更需要全新的组织思维。
译者:boxi。















