1分钟、2束光,3D打印出一座“柏林地标”,精度高于发丝
编者按:本文来自微信公众号“量子位”(ID:QbitAI),作者:关注前沿科技,36氪经授权发布。
说到3D打印,你首先想到什么缺点?
速度慢、精度低、打印出来的物体看起来十分脆弱。
现在,这些缺点在最新的3D打印技术面前都不是问题。
来自德国的一组团队,现在能在几秒内完成一次3D打印,比之前最快的技术也要快上十倍,加工精度还很高,达到25微米(仅不到头发丝直径一半)。
只需要几秒时间,就能打印出一个立体图案:
打印出柏林地标建筑勃兰登堡门也只需68秒。
甚至还能将轮子、轮轴一起打印出来,无需后期组装即可运转。
你也不必担心打印出来的物体太脆弱,即使它遭到锤子重击也不会轻易散架。
快、准、稳是这种3D打印技术的最大特点。
现在,这项研究成果发表在了最新一期的Nature上。
在电影《星际迷航》中,有一种叫做“复制器”的设备。可以在几秒钟内复制出另一个物体。
现在由于材料科学的进步,这些科幻小说的装置可能比我们想象的更接近现实。
传统3D打印的缺点
为何传统3D打印慢?主要是因为只能打印完一层再打另一层。
常见的3D打印机用喷头喷出树脂,继而一层层堆叠起来。一般打印一个物体可能需要几小时甚至几天。
用这种方法打印的材料,其精度受到喷头大小的影响。
喷头大了,打印精度低;喷头小了,虽然能提高精度,打印速度也慢下来了。
而且这种“千层蛋糕”的打印方式导致层与层之间结合不太紧密。从外观上看“层次感”就非常明显。受到外力后,层之间更是容易松脱。
之后,一家名为Carbon的3D打印创业公司开发了一种全新的技术,大大提高了速度。
他们2015年发表在Science上的论文首次展示了这种技术,称之为连续液面生成(CLIP),能比传统的3D打印技术快上100倍。
CLIP之所以快,是因为它一次能打印完一层。
这项技术就像拍照,用紫外光照射树脂液体表面,让其固化。等这一层固化完后,拉出液面,再拍下一个截面,直到打印完整个物体。
速度问题是解决了,但还有一个问题:打印材料必须是一体的。
比如文章开头展示的轴承,轮和轴是分开的,CLIP技术也无能为例,像下面那种“笼中小球”,之前的3D打印技术也难以应付。
而且CLIP的打印速度虽然提升很多,对于批量生产来说仍然不够。比如打印一片鞋底仍需要几十分钟。
在光片上,用另一束光雕刻
于是,科学家们想出了一种新办法:用激光在液体上“雕刻”出想要的物体。
这种液体,在光照条件下能够发生化学反应,从而生成固体物。
但如果只用一束光让液体变成固体,并不能很好地打印出想要的形状,而是会形成一根根直线:
那么,利用两束光的交点呢?
如果一种液体在经过两种光照反应后,才能生成固体,那么就能利用交点,在液体中“雕刻”出想要的固体形状。
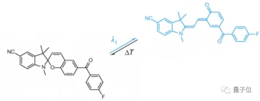
也就是说,需要找到一种液体化合物,在二次光照反应后能生成固体物。
现在,这种液体化合物(双色光引发剂,DCPI)已经被找到了,它的初始化学式长这样:
在与375nm的紫外线光进行反应后,它变成了这种化合物(花菁态):
现在,这种花菁态化合物能够跟波长位于450~700nm之间的可见光反应,生成固体聚合物。
这种方法,被称之为Xolography,其中X即“交叉”,Holography即“全息照相术”,意为利用交叉的光线,在液体中“照”出一个固体来。
除了反应速度快,Xolography的优点在于,与紫外线光反应生成的花菁态化合物,还可以被回收并重复利用。
中间生成的花菁态化合物并不稳定,如果一直没有被第二束可见光击中,它就会在室温下以t1/2=6s的热半衰期,恢复成原来的化合物,如下图中△T。
然而,直接用两束光交叉的方法,存在一个缺陷。
下图是DCPI的初始化合物、与反应后的花菁态化合物,和两种波长的光反应的吸光率。其中,黑色的曲线是初始化合物,蓝色的曲线是花菁态化合物:
从图中可以看出,花菁态化合物,不仅能与可见光反应生成固体聚合物,也能吸收可见光波长之外的光(包括紫外线光),产生光引发反应。
因此,要保证这种花菁态化合物,只能在紫外线光中暴露一次。
为了实现这一目标,研究人员开发了一种叫做“光片法”的方法,将375nm二极管激光器的高斯光束转换成发散激光光束,准直并聚焦到打印体积的中心,形成一整个紫外光片。
由于光的衍射,生成的第一种化合物会在液体中呈现“中间窄、两边宽”的情况(如图中蓝色部分):
这时,再从正面将可见光垂直照入,形成固体聚合物。
而中间最窄部分的宽度,就决定了这种3D打印技术的分辨率。
采用这种“在光片上,用另一束光雕刻”的方法,沿光片的激发不均匀性可以保持在13%以下,非常稳定。
目前,研究人员还在优化这种化合物,以提高它的快速聚合能力,同时保证最大的光学透明性和高粘度。
这项神奇的3D打印技术,由勃兰登堡应用科学大学的物理学家Martin Regehly等多位德国科学家造出。
△Martin Regehly
事实上,此前也有人尝试过用两束光交叉的方法,来进行3D打印,然而却无法达到这种方法的精度。
这一技术的系统程序由Python编写,在树莓派4上运行,用来控制激光器、线性轴和投影仪,打印的速度和精度都挺不错,批量打印也没有问题。
未来或用于生产跑鞋
当然,Xolography现在仍有一定的局限性。
首先,光在树脂中的穿透距离有限,因此打印物体的体积受到限制。
由于该方法需要移动树脂,如果打印方向上移动距离较长,打印时间也会成比例地增加。
但是它超快的打印速度颇具实用化前景。研究人员已经想到,用它来加工定制的运动鞋鞋底。
阿迪达斯可能也是这么想的。
早在2017年,阿迪达斯就已经尝试使用3D打印来加工鞋底,当时他们利用Carbon3D的技术来打印Futurecraft 4D这款跑鞋鞋底。
像这种复杂结构的镂空鞋底,传统技术无法制造,只能由3D打印来完成。
所以阿迪达斯找到Carbon公司来制造,不过加工一片鞋底的过程大约需要90分钟,导致阿迪达斯在2017年大约只生产了5000双这种跑鞋。
如果将来能把Xolography用在3D打印跑鞋上,那么大批量生产不再是梦想。
也许你以后就能用更低的价格把最新科技穿在脚上了。
参考链接:https://www.nature.com/articles/d41586-020-03543-3 https://www.nature.com/articles/s41586-020-3029-7#Sec18 http://www.mrvision.org/en/regehly.html















