“乐视”、“乐视TV”等1300个商标被拍卖,估价19万,乐视故事行将谢幕?
编者按:本文来自微信公众号“三言财经”(ID:sycaijing),作者 DorAemon,36氪经授权发布。
昨日,三言财经在京东拍卖平台中发现,乐视网持有的一千余项商标在京东拍卖平台中被挂出,并将于6月29日开启拍卖。
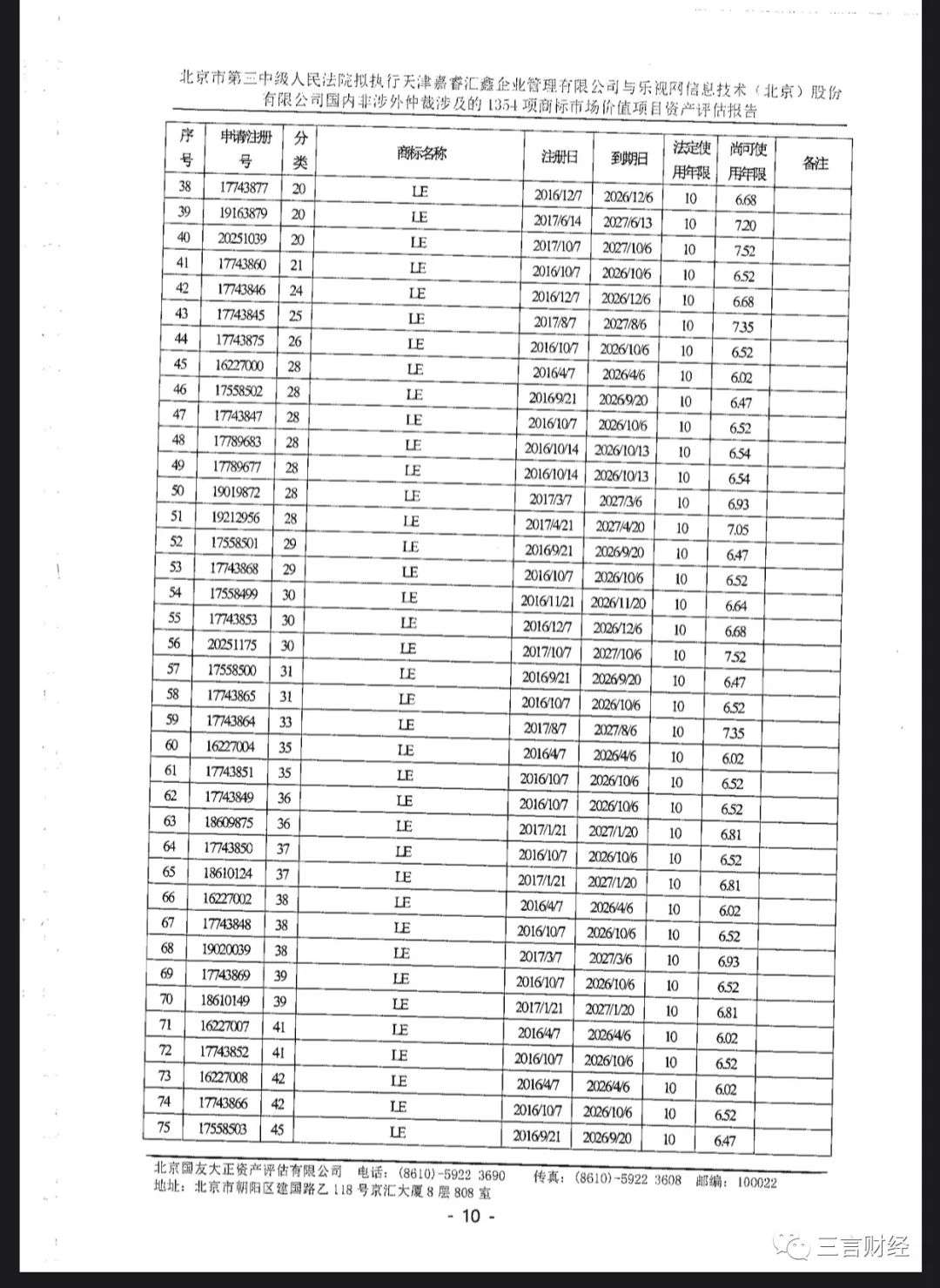
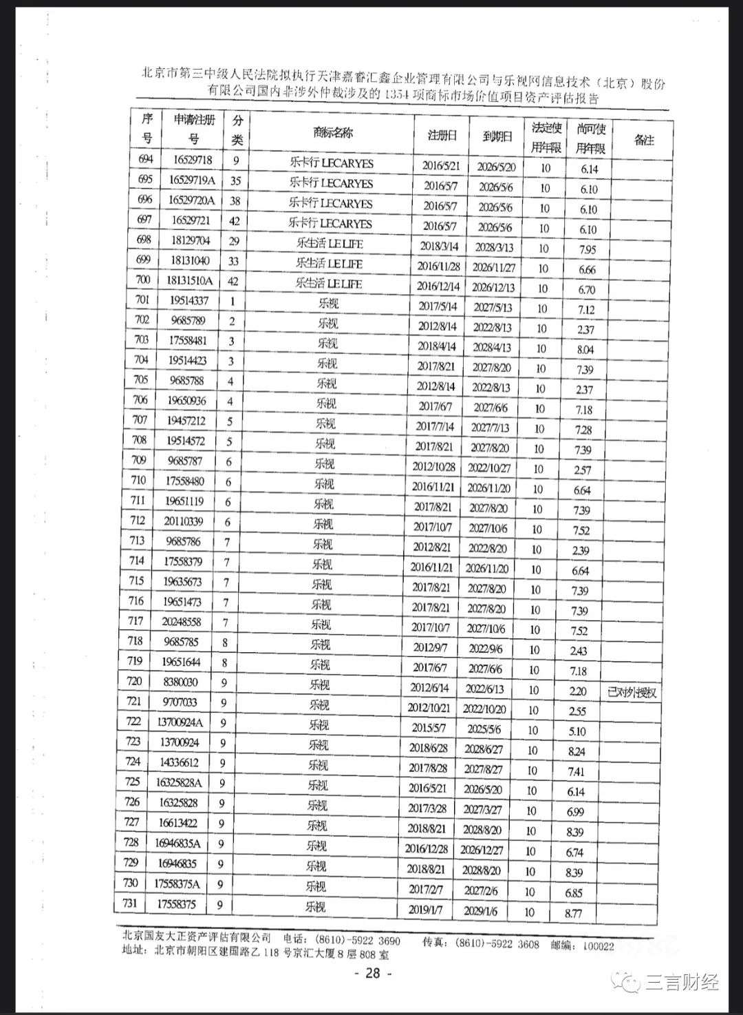
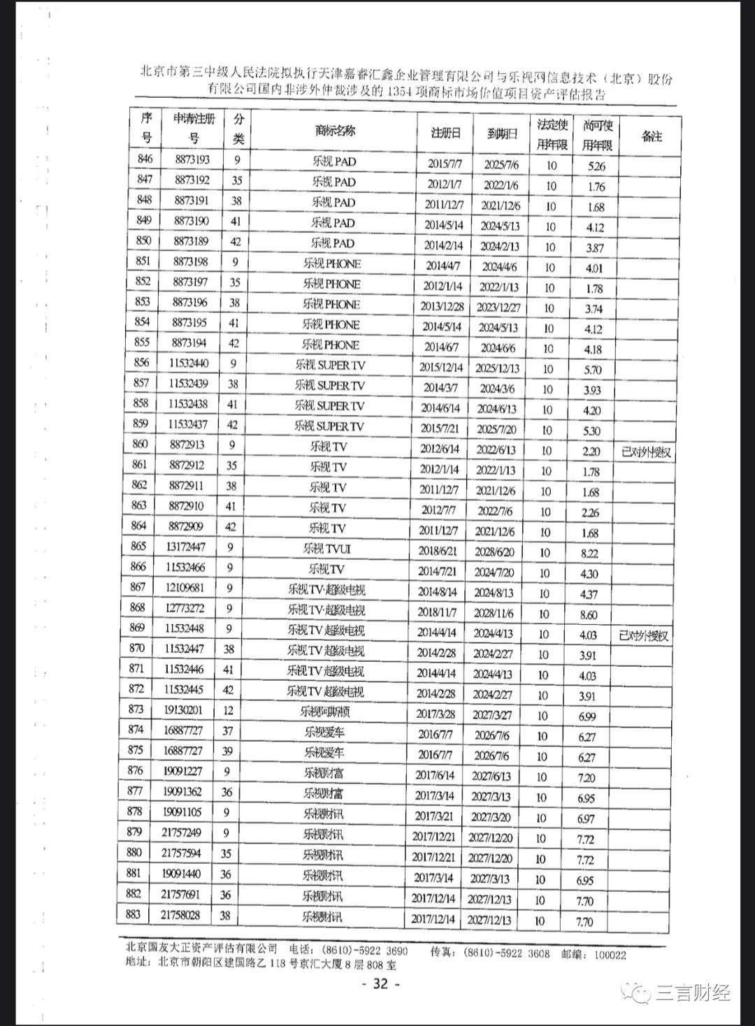
据悉,该拍卖是由北京市第三中级人民法院发起,所拍卖的乐视网持有的1354项商标(其中五项已注销)起拍价格为136416.7元。
根据法院方面提供的相关评估报告显示,这些商标评估价格为194881元。
而这1300余个商标,包含大众熟知的一些乐视产品,例如“乐视TV”、“乐视TV超级电视”;还包括各种含有“乐视”、“LE”以及“乐”概念的中文、英文词语,可谓五花八门,涵盖范围较广。
这似乎意味着乐视的故事要结束了。
5月22日,历经7个月申请、谈判、投票和法院确认,贾跃亭个人破产重组在洛杉矶当地时间5月21日举行的听证会上获得当地法院通过,有望在6月初正式生效;
6月5日起,乐视网正式进入为期三十日的退市整理期,预计最后交易日为7月20日。按照相关规定,乐视网此次退市后再也不能重回A股上市。
据北京市第一中级人民法院发布的拍卖公告,6月13日贾跃亭所持有的乐视网股权将于6月13日被拍卖,起拍价5547.1万元,底价2.51元/股。
……
随着乐视网退市、乐视网持有的商标和贾跃亭股权被拍卖这一系列事件完成,是否意味着那个曾经红极一时的“乐视时代”正式谢幕了呢?
没钱还债只能拍商标
2017年7月初,贾跃亭远走美国,并且辞去乐视网董事长职务,公开表态自己将承担所有责任;同年年底,贾跃亭被列入失信被执行人名单,“下周回国”的称号也差不多是那时候扣在他头上。
贾跃亭走后,乐视网的状况也是每况愈下。乐视网虽然于2017年初获得168亿元融资,其中融创中国出资150亿元,但2017年全年亏损138亿元的业绩表现让贾跃亭的接盘者们可谓叫苦不迭。
之后的故事众所周知,乐视网的投资人开始了追债之路。
2019年6月12日,乐视网发布《关于公司涉及诉讼(仲裁)事项的公告》。公告表示,近日融创地产、天津嘉睿申请仲裁,分别要求公司立即支付借款本金12.9亿元、19.14亿元及利息损失、违约金等款项。仅融创地产和天津嘉睿申请偿还的借款本金总额已超过32亿元人民币。
值得注意的是,天津嘉睿实际上也是融创旗下公司,因此这三十多亿元债务都是乐视网欠融创中国的钱。
但是,乐视网名下已无财产可供执行。
2020年1月7日,北京市第三中级人民法院公布了有关融创地产公司等仲裁的执行裁定书。
根据该裁定书,北京市第三中级人民法院查询乐视网在金融机构开设账户情况、房屋所有权情况、车辆登记情况和工商登记情况等发现,乐视网名下已无可供执行的财产。
因此,法院于2019年12月6日、12月20日查封了乐视网名下商标权;于2019年11月22日查封了乐视网名下专利权。并且将乐视网纳入失信被执行人名单,对其采取限制高消费措施。法院指出,乐视网现无法提供其他可供执行的财产线索,暂无财产可执行。
于是,乐视网名下的商标被司法拍卖。
贾跃亭持有的乐视网股票也被拍卖
除了商标即将被司法拍卖外,贾跃亭持有的乐视网股票也将被拍卖。
根据北京市第一中级人民法院发布的司法拍卖信息显示,6月13日至6月14日将开始拍卖贾跃亭持有的2210万股乐视网股票,起拍价为5547.1万元。
此次拍卖的220万股乐视网股票约占乐视网已发行股份的0.55%,该股份已质押给了申请执行人。
标的股份5547.1万元起拍价对应每股价格为2.51元,系乐视网去年5月暂停上市前20个交易日的收盘均价。
这次拍卖系乐视网股票首次被公开拍卖,此前,乐视控股所持有的世贸工三项目、乐视网办公楼乐视大厦和乐视联合创始人刘弘持有的乐视影业股权均曾进行公开拍卖,但最终以流拍或者中止告终;
根据乐视网公布的2020年第一季度财报显示,截止至今年3月底,贾跃亭持有9.2亿股乐视网股份,占比23.07%,是乐视网第一大股东,目前已全部被冻结。
其次,贾跃亭哥哥贾跃民持有乐视网6367.84万股,占比1.6%,同样被全部冻结。
按照今日乐视网股价1.23元/股计算,贾跃亭所持乐视网股份市值约为11.32亿元,贾跃民所持股票市值约0.78亿元,兄弟二人共计持股市值约12.1亿元。
融创旗下天津嘉睿持有乐视网3.41万股股份,占比8.56%,是乐视网第二大股东。
除了拍商标、股票,连办公楼也被拍过
因为债务问题,乐视旗下各种资产被拍卖已经不是新鲜事,比如乐视大厦。
2014年,乐视控股子公司北京宏城鑫泰从八大处控股集团处购入该大楼,并更名为乐视大厦;
2016年11月,乐视控股以乐视总部大厦作为抵押,通过三方委托贷款14亿元,以乐视汽车生态内的易到为主体取得贷款。此后,这笔贷款未能还上,贾跃亭和妻子甘薇被列为失信被执行人,乐视大厦则成为了被拍卖对象;
2017年12月,多家房产中介公司透露乐视大厦即将出售,售价14亿元,但乐视回应称此事并不确定;
2018年7月,乐视大厦更名为乐融大厦,据媒体报道称,大厦已被乐视控股质押给了乐融致新。而乐融致新也就是原乐视网旗下电视运营公司乐视致新,后被剥离上市公司。
2019年10月,北京市第三中级人民法院表示,将于11月18日至11月19日公开拍卖乐视大厦,起价约6.78亿元;但这场拍卖最终中止,因有“案外人对拍卖财产提出异议”。据媒体报道,该案外人或是当时仍在此办公的乐视网董事长兼CEO刘延峰,据悉,他曾拒绝搬离大厦。
不过,刘延峰在2020年1月时回应此事称乐视网并未对拍卖提出异议。
融创中国疑似抛弃乐视网
所谓鸡肋,则是食之无味,弃之可惜。
如今乐视网之于融创,可能就如一只鸡肋一般。
有传言称曾经融创中国的孙宏斌通过某企业家介绍认识了贾跃亭,于是被贾跃亭忽悠投资乐视,实际上成了乐视的接盘侠。
贾跃亭跑到美国后,融创在乐视身上赔了一百亿。据每日经济新闻报道称,孙宏斌在2018年3月召开的融创中国2017年业绩报告会上,对于融创中国对乐视高达165亿元的损失计提,怒称:“别再提乐视了,再借他100亿元,我傻啊。”
随后孙宏斌将乐视网旗下主营乐视电视的核心资产乐融致新剥离。乐视电视曾被称为乐视网的“收入奶牛”,那么之后仅剩下视频网站为主的乐视网状况则更不容乐观。
如今,乐视网已经无力偿还所欠债务,拍卖商标以及股票也无济于事。在这种情况下,融创中国似乎想及时止损了。
6月3日晚,乐视网发布公告称,天津盈瑞汇鑫企业管理有限公司(下称“盈瑞汇鑫”,融创集团控制)与致新云网企业管理(天津)有限公司(下称“致新云网”)于5月22日签署《股权转让协议书》,致新云网受让盈瑞汇鑫持有的天津嘉睿汇鑫企业管理有限公司(下称“嘉睿汇鑫”)100%的股权,转让价格为0元。
简而言之,就是融创中国想间接转手所持有的8.56%乐视网股权,而且是免费转手。
但是这笔交易发生在乐视网退市前两天,并且接盘方致新云网刚于2020年3月25日成立。公告称本次受让意图系为获取乐视网的股份和嘉睿汇鑫对外投资的其他公司股权。
该公告发布后,深交所火速下发关注函,要求乐视网董事会说明盈瑞汇鑫转让其所持有的嘉睿汇鑫100%股权的原因,本次股权转让对价为0元的定价依据以及合理性,融创相关方是否存在规避股份减持限制的情形。
深交所还要求说明本次股权受让方致新云网以及其控股股东、实际控制人、董事、监事、高级管理人员是否与融创集团、盈瑞汇鑫存在关联关系或者其他隐性关系,是否存在股权代持等情形。
6月5日,乐视网回复关注函称,受让方致新云网与融创、盈瑞汇鑫不存在关联关系,不存在其他隐形关系及股权代持情形;融创不存在规避股份减持限制的情况。
此外,对于0元定价,乐视网回应称,乐视网股权仅为嘉睿汇鑫所持资产的一部分,定价系综合审慎考虑了嘉睿汇鑫所持资产的运营、财务、司法等状况及公司价值、市场声誉等因素,属于正常商业行为。
再有一个多月,乐视网即将完成A股退市,这或许就是乐视网的“告别演出”。“下周回国”而且还说要负全责的贾跃亭最终也没有任何表态。
无论最终结果如何,贾跃亭和他的乐视还是会在中国商业发展史中留下浓重的一笔。















