平台币“绝对通缩”浪潮来临,交易所该如何做出选择?
平台币是指由数字资产交易平台发行的代币。
平台币早期主要用于平台的手续费抵扣、参与利润分配、平台投票等,其价值衍生于平台币的生态功能建设。然而,随着平台币回购销毁潮的兴起,平台币的价格越来越取决于其自身的供求关系。
今年以来,OKEx 平台一次性销毁了占发行总量 70% 的 平台币 OKB,宣告 OKB 自此进入绝对通缩时代。OKB 随即大涨 87.5%,达到 7.51 美元的历史新高,并引领了平台币板块整体上涨。
一时间,众多交易所纷纷效仿,以平台币绝对通缩为目的的新一轮销毁潮正式来临。
尽管是新瓶装旧酒,为何本轮销毁潮会引发新一轮平台币上涨?本文将围绕“绝对通缩”这一问题对主流平台币价值进行分析。
一、平台币价格因子模型
随着平台币回购销毁模式的兴起,我们需要构建一种新的平台币估值模型,来分析销毁模式对平台币价格的影响。
首先我们先假设一些参数。
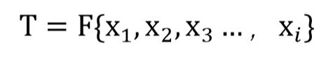
T 是在市场中的一段时间内所有参与者对平台币的需求总量,这些需求包括用平台币进行投票、交易费抵扣以及投资等。为了简化,我们假定人们在使用或投资平台币的时候,也时刻考虑平台币的价值,这样就可以用法定货币来衡量 T;
P 是平台币与法币的兑换价格,表示一枚平台币可以兑换多少法币;
M 是平台币的供应量,其发行总量固定不变;
V 是在一段时间内平台币用于交换的次数,代表平台币的流通速度,因此在一段时间内用以交易的平台币总量为 MV。
现在我们来分析对平台币的需求,我们需要的平台币总价值是 T 美元,而每 1 美元对应的交易,我们需要 1/P 个数字货币来完成。所以,T/P 就是在一段时间内对平台币需求数量,因此:
移项并对 P 进行差分取对数(在经济学意义上即价格的涨跌幅),得:
公式(1)
由上式看出,平台币的价格会随平台币需求的增加而上涨,随平台币数量的增加而下跌,这也解释了为什么平台币回购销毁模式的结果往往带来平台币价格的上涨。
同时,像平台币生态建设和功能的扩展等因素,都会增加需求 T,因此设这些影响因素为x𝑖:
结合上述两式对 P 进行差分取对数,得:
公式(2)
由此可以看出,平台币生态建设、功能扩展以及其他战略布局,也会推动平台价格的上涨。但由于这些影响因素对需求的刺激效应经常变化,因此对平台币价格的影响(即上式中各影响因素的系数)时强时弱,或正或负,不像直接销毁对平台币价格的影响更简明积极。
从现实结果看也确实如此,以 OKB 为例,过去几年中公布的生态建设方案,并未像这次直接销毁 70% OKB 的影响大。
二、销毁潮下的三大平台币价格分析
看完了共性,让我们具体分析下为何都有销毁机制的各主流平台币,市场表现却差异巨大。
(1) OKB
OKB 原计划发行十亿,其中 10% 用于基金会运营,10% 用于早期股东购买,20% 用于团队激励,60% 用于生态运营;而在这 60% 之中,又有 3 亿 OKB 在 2018 年春节红包和预约购买手续费点卡送 OKB 活动中送出,进入市场流通。
在本次 OKB 销毁潮中,OKEx 直接销毁 70% 尚未进入流通的 OKB。自此,现存 OKB 仅有尚在流通的 2.86 亿 OKB,而 OKEx 官方随后也宣称 OKB 的回购销毁措施不变,且在未来会将合约收入纳入回购资金之中,自此 OKB 成为首个绝对通缩的平台币。
结合公式(1)可知,OKB 销毁 70% 的数量可能带来价格70%的涨幅,市场表现也较符合模型结果:2 月 10 日,OKEx 在宣布销毁 70% OKB 外,还宣布 OKChain 上线和 OKDEX 开始内测的这两大利好消息,OKB 当日上涨 36%,收报 5.37 美元,随后几日涨至最高 7.51 美元,涨幅高达 90%。
今年以来OKB价格走势图
(2)HT
HT 原计划发行 3 亿 HT,其中 1 亿 HT 用于生态运营,1 亿 HT 用于团队激励,3 亿 HT 用于点卡套餐赠送并已进入市场流通。
2 月 29 日,火币官网发布消息,宣布销毁 14741.79 万个 HT,占火币总量的 29%,HT 价格由当日开盘的 4.89 美元上涨最高至 5.48 美元,最高涨幅达到 12.07% 。
此次销毁的 14741.79 万个 HT主要来自于两个部分:
(1)HT 运营中未发行部分的 9734.23 万 HT,该部分 HT 占发行总量的 19.4%;
(2)以前设立的投资者保护基金,共计 5007.56 万 HT。
需要强调的是,投资者保护基金的这部分 HT 是火币在过去用平台收入回购而来的 HT,市场先前已经有预期这部分 HT 不会再进入市场流通,故此部分销毁的 HT 对价格产生的影响并不大。
根据公式(1),HT 价格最多上涨 19.4%,与 2 月 29 日实际情况(最高涨幅 12%)相去不远。
今年以来HT价格走势图
(3)BNB
BNB 发行总量恒定为 2 亿,其中 1 亿采用 ICO 形式公开发行,创始团队成员持有 0.8 亿,另有 0.2 亿用于天使轮融资。据币安白皮书介绍,BNB 将持续销毁直至总量降为 1 亿 BNB。
虽然 BNB 是最开始进行回购销毁的平台币,但在今年的平台币销毁浪潮中,BNB 并未跟进。因此,BNB 今年在主流平台币中市场表现并不突出。
今年以来BNB价格走势图
三、结论
从本次主流币种的销毁情况看,OKEx 选择了销毁 7 亿 OKB,现存 OKB 已经全部在市场上流通,因此随着未来回购销毁的展开,OKB 正式进入绝对通缩时代;火币也跟进了此次销毁大潮,一次性销毁共计 1.47 亿 HT,占比 29.48%,不同之处在于其中 0.5 亿 HT 已经退出流通,因此销毁带来的上涨幅度有限;币安并未跟进销毁浪潮,因此表现并不抢眼。
交易所作为数字货币行业中心,备受市场关注。而平台币的运营又是交易所的核心业务之一,在平台币回购销毁形成趋势时,只有把交易所团队利益让渡给客户,实施“绝对通缩”,才能赢得市场的认可。















