连亏三年的宝宝树,上市真的是一个好选择吗?
2018年11月27日,母婴电商宝宝树在筹备许久之后,终于正式登陆港交所,开盘报价6.8港元/股,收盘较发行价涨1.03%,达到6.91港元/股,当日收盘市值达115.32亿港元。
此次宝宝树IPO,成为了国内母婴电商类企业的第一股,按照日前公告,宝宝树上市后计划将募资净款项的30%用于公司的业务扩张,30%用于研发活动,30%用于公司未来的投资、收购、以及战略联盟提供资金。剩下的10%用于营运资金以及其他一般企业用途。
对于如今的母婴电商行业而言,宝宝树的成功上市,标志着母婴电商领域即将迎来一个新的发展阶段,但对于宝宝树自身而言,却不应该是为成为第一股而自喜的时段。
宝宝树IPO的原因:行业大环境与资本推手
 
宝宝树能够实现IPO上市,首先得益于母婴市场爆发式增长的因素。
自二胎政策开放以来,2016年我国全年出生人口达到1786万人,其中,二胎占比超过45%。而到了2017年,二胎数量达到883万人,更是首次超过了一胎人数。就好比互联网商业野蛮生长时期的人口红利一般,这种突增式的新生儿,给母婴市场带来了用户基础。
其次,得益于互联网电商领域的线上挪移,全民互联网时代,不仅培养了新一代年轻父母群体网购的消费习惯,同时还改变了传统母传妻式的母婴知识传输体系。以线上社区为主的母婴社区开始建立,年轻父母获取育儿知识的渠道扩充,也使得这这部分用户群体更加重视母婴养护。这些都变相刺激了母婴类产品的销售,让本应以线下为主的母婴类产品向线上移动,母婴电商从2013年迎来爆发式增长期。
此外,宝宝树能够在今年进行IPO,很大程度上也是背后资本的推手。自宝宝树成立之后,先后获得了复星、好未来、经纬等资本的投资,而今年6月4日,宝宝树正式宣布与阿里巴巴集团达成资本战略合作,宣布双方将开展在电商、C2M、广告营销、知识付费、新零售、线上线下母婴场景等多个层面的大规模深层合作。
对于国内的电商企业来说,阿里的光环效应无疑是最为优秀的资源供给,无论是品牌形象、运营、供应链物流还是资本,这些环节阿里都可以为期赋能,也是在这种大环境利好与雄厚资源推手,宝宝树得以逆袭,成为中国母婴电商第一股。
但第一股只是一个阶段性突破,并不意味着宝宝树的企业价值就能直接逆袭,成为母婴电商的首位。
梅特卡夫法则下宝宝树的价值分析
 
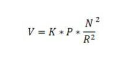
计算机网络先驱、3Com公司的创始人罗伯特·梅特卡夫曾经认为网络价值应该以用户数量的平方的速度增长,一个网络的价值等于该网络内的节点数的平方,而且该网络的价值与联网的用户数的平方成正比。
而有学者在此基础下,认为互联网的价值在于节点之间的相互连接,每N个节点可能与N-1个其他节点发生联系,潜在的关联为N(N-1),即N^2个数量级。因此互联网公司价值为:V=N^2,其中V是互联网价值,N为用户数量。
后来这种“用户至上”的判断准则不断完善,在2015年时,国泰君安策略团队认为互联网企业的价值由变现因子、溢价率、用户数量或潜在用户数量、高质量的网络节点四大核心要素构成,在此基础上演变出了一个较为全面的公式:
其中V是互联网企业价值,K是变现因子,P是溢价率系数(取决于企业在行业中的地位),N是网络的用户,R是网络节点之间的距离(客户间互动因子)。
我们以这个公式来看:
*宝宝树的盈利变现手段较为单薄,只有电商、广告和社区付费。而宝宝树在母婴电商上,2015-2017年额亏损分别为2.86亿元、9.34亿元、9.11亿元。综合这连续三年亏损的情况,以及本身较为单薄的盈利变现方式来说,变现因子K的值处于较低阶段。
*宝宝树行业地位在此次上市成为第一股之后,可能会有所增长,但之前宝宝树在母婴电商行业中并无明显的竞争优势。
根据MobData公布的2018年母婴消费市场研究报告显示,在母婴电商APP活跃渗透率TOP10排名中,贝贝网、孩子王、蜜芽位居前三,而宝宝树旗下的母婴电商美囤妈妈仅排名第十。而从极光大数据发布的《2017年9月母婴电商app行业研究报告》来看,国内市场渗透率前5名的母婴电商APP分别是贝贝、孩子王、蜜芽、大V店和花粉儿。
也就是说宝宝树的基础市场份额并不高,其溢价率系数P的基础数值也相应的较低。
*宝宝树的用户数方面更加不堪,据招股书显示,宝宝树在2017年,MAU为1.39亿,但截至今念6月30日,宝宝树的MAU降至8950万,其中付费用户数量更是跌至270万,去年同期为360万,N数值不断降低。
*宝宝树此次IPO的一个重要的噱头是“社区+电商”,但宝宝树的“社区+电商”却显得有名无实。宝宝树社区付费、电商和广告营收中,社区付费这一环节占,根据艾瑞统计,占比仅仅只有3.4%。也侧面说明了在与客户之间的互动中,宝宝树社区的粘性并不足,R数值堪忧。
以此来看,宝宝树的市场价值其实在整个母婴市场中并不高,能成为母婴市场第一股更像是资本催熟。
宝宝树的破局之路:社交电商营销的阿伦森效应与趋近效应
 
近期有不少媒体看到宝宝树上市之后的些许涨幅,盲目的吹捧宝宝树的潜力与价值,其实对一个刚刚上市的企业来说,上市短时间的增长或者破发都是正常现象,并不是一竿子打死的证明是否被资本市场看好。著名投资人朱啸虎也说过“相比当年亚马逊4亿美金,微软5亿美金,腾讯6亿美金市值上市,今天互联网创业企业价值增长基本都已在一级市场完成,甚至透支。”
而且上市是一把双刃剑,信息披露的不仅仅只有优点。对于一家上市公司而言,其重大事项必须进行披露,哪怕在不了解真实情况下也要如实披露尚不知情。信息披露对任何证券市场的上市公司都是一个考验,其中很多红线都不能踩。
而在信息披露下,宝宝树目前的处境就显得更为尴尬,如果再不扩大市场份额,止住亏损与用户流失,很可能会丧失掉资本的信任没,因此必须在上市之后进行调整,而在笔者看来,社交电商就是当下破局的帕累托最优解。
得益于社交的强关联与去中心化属性,社交电商在近两年中迅速崛起。由于如今互联网商业流量处于增量市场中,获客成本急剧提升,而社交电商通过独有的社交属性,可以把电商入口下沉到四五线市场,有着天然的商品价值。拼多多,云集微店等“社交+电商”平台的崛起也都归功于此。
而母婴类产品的受众为父母,这类用户基于人脉关系网络,可以形成以信任为核心,在社交媒体上关于商品的关注、分享、互动,往往有着病毒般的传染性,可以实现无限裂变。这也是母婴、医美等行业都在做社区的原因,只是如今相比较自建社区,以微信为主的社交领域更为活跃与便捷。
而且母婴领域的社交电商,也能最大程度发挥社交电商营销的阿伦森效应与趋近效应。
阿伦森效应指的是:随着奖励减少而导致态度逐渐消极,随着奖励增加而导致态度逐渐积极的心理现象。而趋近效应指的是:人们在越接近目标的时候,会更愿意投入注意力和精力去完成目标。
我们常常能看到各种同龄年轻父母之间,都有着自己社交的小圈子,通过一定的拼团优惠、助力打折等社交电商玩法,可以极大地发挥阿伦森效应,调动该群体的消费积极性。同时,把握好奖励机制设置合理的满减策略,让趋紧效应生效,进而增加用户群体的粘性。以此改善目前宝宝树用户大量流失的局面。
所以对于如今的宝宝树而言,正是面临息息披露,真实企业价值显露的时期,也是寻求自我变革,全面剖析自己的时期。拥抱社交电商的大潮流,不失为一个自我止渴,真正翻盘的决策。
科技自媒体“翟菜花”,订阅号:翟菜花,个人微信号zhaicaihua002,转载保留版权,违者必究。















