Python or Java?大数据解读学什么语言最赚钱
编者按:本文来自微信公众号“数据森麟”(ID:shujusenlin),作者 徐涛。36氪经授权转载。
本文主要用Python爬取拉勾网不同编程语言职位信息,包括:Python岗、Java岗、C++岗、PHP岗、C#岗位(5岗);用R语言对影响薪资的因素进行分析。由于拉勾网的职位信息只显示30页,一页15个职位信息,如果单独爬取一个城市的岗位信息,只有几页是匹配的信息,信息量太小,分析没有说服力。因此,本文爬取拉勾网全国职位信息。主要三部分内容:
一、爬取拉勾网5岗职位信息--以Python岗为例
二、以Python岗位信息为例,分析影响薪资的因素
三、5岗之间薪水因素影响比较分析
一、爬取拉勾网5岗职位信息--以Python岗为例
我们抓取的信息包括Python岗位名称、公司名称、薪资、工作经验、学历、公司规模、公司福利。
抓取结果如下:
将抓取结果循环写入csv文件:
此外还抓取了Java岗、C++岗、PHP岗、C#岗位4岗的信息,代码和抓取Python岗位信息类似。
二、以Python岗位信息为例,分析影响薪资的因素
这里包括数据清洗部分和数据分析部分两部分内容。
数据清洗部分

在抓取过程中,由于将python字典循环写入csv文件,因此列名也被循环写在csv文件中。
考虑本文主要分析影响薪资的因素,这里去除Name和Company两列。
1.变量Salary
变量Salary一般都是范围值,用“-”连接,但是不排除有XXK以上,例如10k以上这种表示形式,或者其他形式,这里需要处理一下。
到此,数据清洗部分内容全部结束。
数据分析部分
1.工资与工作年限的关系
ggplot(newdata,aes(x=Experience,y=salary))+geom_boxplot(col="red")
符合大众的认知,从事python的应届毕业生起始工资平均值在5K左右,且薪资水平跨度最小,经验5-10年,工资水平跨度最大,主要可能是因为,有一部分转为技术管理岗位,工资较低的可能还在继续码代码,是不是对广大同胞们的警告啊.......
2.工资与学历的关系(专科,本科,研究生,不限)
这里是否能说明学历在一定程度上的重要性?学历本科的工资跨度比较大,因为工作经验的不同导致了薪资的差异。
3.工资与公司融资的关系
对于这部分知识是盲点,但是可以看出融资公司(上市也是一种融资方式)比没有融资的公司平均工资要高出不少,这部分是不是可以是以后找工作的一个风向标。。。
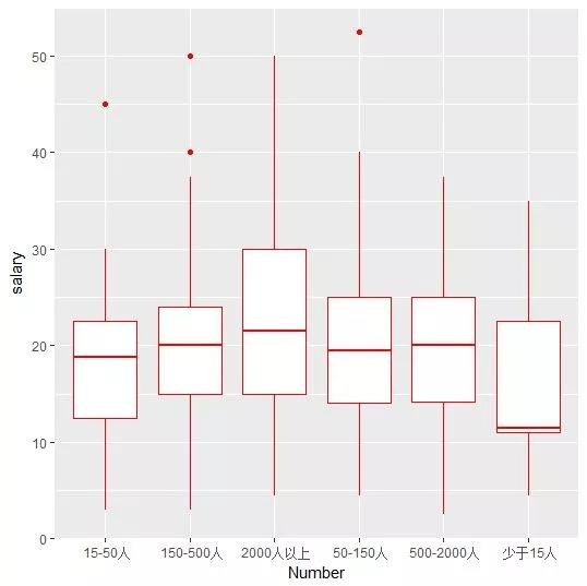
4.工资与公司大小的关系
公司规模越大,平均的工资也越高。
5.工资与工作时间和学历的关系
这张图告诉我们,在大部分情况下,没(Ren)钱(Chou)就要多读书。不管是经验经验1年以下、经验3-5年、经验5-10年、经验不限的情况下,拥有硕士学历的平均收入都普遍高于本科,本科都高于大专。(这里完全没有歧视低学历之意)
6.公司福利的云图
现在公司的福利贴有“弹性工作,氛围好,团队,大牛,技术,五险一金”等标签来吸引求职者眼球。
三、5岗之间薪水因素影响比较分析
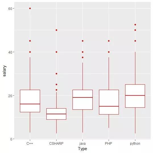
1.Python岗、Java岗、C++岗、PHP岗、C#岗位的平均薪水
抓取拉勾网职位信息,可以看出python和java的平均薪资较高,C#的平均工资最低。
由此也验证python近几年火热的态势,由于AI的火热,python的需求越来越大,传统的java也比较强势,薪资待遇较高。
2.相同工作经验不同职位信息薪水比较
对于不同工作经验,不同编程语言平均薪水还是有较大的差异。
3.相同学历信息不同职位信息薪水比较
通过硕士、本科、大专、不限四种比较,硕士的总体薪资高于本科。
4.同一职位不同学历信息薪水比较
总的看来,在每个职业,硕士学历的平均薪水高于本科,本科的平均薪水高于大专。















