就业性别歧视真的存在吗?我们分析了1382份简历,得出了一个答案
编者按:本文转载自微信公众号“DT数据侠”(ID:DTdatahero),作者 | Prasanna Parasurama,编译 | 慈兆佳 胡世龙;36氪经授权转载。
在求职时,性别真的有影响吗?不同行业、不同职业类别的人对此或许有不同看法。这样的看法是如何产生的?有没有一种科学的方法来衡量呢?美国旧金山的一位数据侠Prasanna Parasurama通过对1382份简历的分析得出了结论:性别不平等往往和求职者的个人客观条件无关,而更多来自公司主管不可控的主观因素。
用大数据的方法来衡量职场的性别不平等
在科技业,求职时的性别不平等一直是个重要话题。但针对该议题,在实际操作层面却鲜有基于大数据的系统性研究。
对于那些拥有大量数据的企业来说,缺乏一个严格而科学的系统很容易导致人力资源部门仅仅根据道听途说来推测性别不平等问题产生的原因,而忽略了真正的根源。
为了这个目的,本文提出了一种可重复地用来评价求职性别不平等的系统研究方法,并且附带使用这种方法进行评价的案例。
样本和研究方法:基于1382份简历的数据分析
这次研究中用到的是一个数据工程师职位的1382名求职者的简历数据,其中1029人为男性,占74.4%,353为女性,占25.5%。
需要指出的是,因为不知道这些求职者的性别(DT君注:在美国等一些国家,为了避免各种偏见,简历一般不附带求职者个人照片和性别信息等),因此上述性别人数和比例是基于求职者的姓名和Atipica公司(DT君注:即本文作者所在的公司)的性别预测模型得到的,总的准确率可以达到96%,但会产生4%的误差。在后续的分析中,这一误差也可能会有所影响。
而求职者的职业技能也由Atipica公司的技能映射模型获得。
首先,我们需要明确的是,如何通过指标来衡量性别不平等?
通过比较特定职位的男女求职者的被拒比例,我们可以确定是否存在潜在的性别不平等,因为在其他条件相同的情况下,理论上被拒比例应该是接近的。
(图片说明:被拒比例=被拒的申请者人数/总申请人数)
在这项研究中,我们通过比较在审查求职申请阶段的被拒率来衡量不平等。选取这个阶段的原因主要有以下两个:
在审查求职申请的阶段,雇主会有多重方式来评价一个求职者,例如,电话沟通技巧等,而不是单一通过简历来评价。为了减少不可控因素,我们把数据的收集固定在这个阶段。
审查求职申请通常对于之后的进一步考察影响最大。我们发现约90%的求职者在这个阶段会被拒。
那么在审查求职申请阶段产生的被拒率的差异都可以被归结为:
客观因素:工作经验、教育背景和技能体系。
主观因素:被认为教育背景不符合、被认为工作经验不符合、故意或者非故意的偏见。
由于主观因素的本质,它本身是不可控的,所以我们把研究对象限定在客观因素。
我们基于以下假设对统计数据的显著性做了测试:
在测量显著性过程中,我们必须要考虑到两类误差。一是样本误差,二是性别预测的误差(4%)。考虑到性别预测误差,我们放弃了T检验(DT君注:即t-test,是用t分布理论来推论差异发生的概率,从而比较两个平均数的差异是否显著)。这类传统参数测试,而改用了置换测试并且配合蒙特卡洛方法,在每次重复测试中都在男性和女性中做了4%的样本交换,并且验证了重复性假设。
数据分析:男性和女性技能相差不大,但女性被拒率更高
被拒率的差异:
(图片说明:男女求职者的被拒比例)
男性和女性的被拒率分别为83.0%和88.6%,女性比男性高出5.6个百分点,这个偏差在统计上表现出显著性(p=0.03)。紧接着作者评估了各项客观因素在偏差显著性上起的作用。
技能总数量上的差异:
(图片说明:男女求职者职业技能数量的分布)
女性求职者简历上平均罗列96项技能,男性求职者简历上平均罗列93项技能。根据上图所显示出来的情况,技能数量的平均数和中位数相差不大。
可以发现,尽管在技能平均数量上存在差异,但这种差异一方面小到不存在实际影响,另一方面在统计显著性上也不显著(p=0.38)。
技能体系上的差异:
(图片说明:职业相关技能的分布)
为了查明技能体系上的差异,我们根据技能映射模型找出了34项核心技能,并把我们从简历里挖掘出来的技能进行比较。上图显示了一些技能在简历中呈现的比例,例如,不论男女,约80%的求职者都在简历中提到Java。
通过定性分析,我们可以看出技能分布在男女求职者上区别不大。
定量分析男女求职者在技能集合上的相似性,我们可以看出分布的标准差。
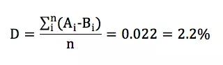
我们用 Aᵢ和Bᵢ分别表示掌握技能i的男女求职者比例,例如,A_java = 0.8并且B_java = 0.8。则n种技能的总平均偏差比例为:
这就意味着,平均来看,对于每一项技能,男性掌握该技能的比例都要高于女性掌握该技能的比例2.2个百分点,偏差并不大。
偏差的百分数看上去直观,但缺点是我们并不知道相对偏差。我们进一步利用平均数标准化偏差计算相对偏差:
在标准化之后,技能集合上男女求职者的偏差为5.3% —— 换句话说技能集合上94.7%都是一样的。
5.3%的偏差虽然小,但也可能影响巨大,尤其是如果这种差异体现在核心技能上时。
为了搞清楚这个问题,我们运用置换测试/蒙特卡洛法计算了男女求职者在特定技能掌握比例上的偏差。比如,如果50%男性和53%女性都会“hadoop”,我们就要计算这3%的差异是不是显著。
结果发现,在剩余的33项技能中,只有SQL和统计两项技能显示出性别差异性,而且这两项都是女性的掌握程度高于男性。
大体上,我们可以说在技能的大多数方面男女之间不存在差异,而SQL和统计上又是女性有显著的优势。
工作经验上的差异:
下表列出了男女求职者工作年限的平均数和中位数,值得注意的是职位要求并不包含工作年限。
我们发现工作年限上只有半年的差异,尽管在差异上表现出显著性,但在实际录用的层面上并没有什么实际意义,很少有公司会把半年经验的缺失作为拒绝的主要因素。
教育背景上的差异:
下表列出了求职者最高学历的分布情况(百分比),职位的要求是理工科本科或者硕士毕业生。
女性求职者比男性求职者在高学历中所占比例更高,82.7%的女性求职者拥有硕士及以上学历,只有69.9%的男性求职者拥有同等学历。这方面的差异非常显著。
结论
从上面的研究可以发现,女性求职者在被拒率上高出男性求职者5.6个百分点,尽管女性拥有高学历的比例更高、工作年限上和技能体系上也没有实际意义上的差异。
当然,如果仅仅根据上面的实验结果就得出“被拒率上的差异是因为有意或者无意的偏见”的结论,还缺乏充分的理由。但考虑到在实验中至少已经排除一些客观因素的影响,那么有理由相信这种差异更有可能是来自于主观因素的影响。
研究的局限性
当然,需要指出的是,本次实验还具有一些局限性:
1. 经验和教育背景的含金量
尽管工作经验和教育背景是简历审查的一个基准线,但其中的含金量却是极其关键的因素,甚至影响到能否通过简历审查。然而,这方面又太主观并且难以控制。
2. 技能不是纸上谈兵
我们仅仅根据技能一栏填写的情况来考虑,那么会造成一个熟练掌握该技能并有5年经验的求职者和一个刚会一点的菜鸟求职者没什么区别的情况。
3. 所有相关技能所占权重都一样
全部34项技能权重都一样,这在简历审查时肯定不现实,很明显一些职位对于一些核心技能的要求要高过其他技能,也就是权重更重。然而,这方面我们可以通过招聘官给出每项技能的权重来解决。
4. 之前做过的项目没有被考虑进去
求职者之前做过的项目或者写过的代码(比如github等)有时在简历审查时是会被调阅的,而这一点在本次实验中没有被考虑。
注:本文编译自Medium.com网站文章《A Framework to Assess Gender Inequity in Hiring using Data》,文中图表均来自原文。内容仅代表作者观点,不代表DT财经立场。















