行动力强大的人,都是“二进制”的
赞美一切诗歌格律,它们拒绝自动反应,
强迫我们三思而行,摆脱自我之束缚。
温·休·奥登
000
《鱿鱼游戏》中的第五关,是“跳玻璃桥”。
玻璃桥由18节构成,每节有左右两块玻璃,一边是普通玻璃,一边是强化玻璃。
游戏规则是:参赛者必须正确分辨出普通玻璃和强化玻璃,若踩到一般玻璃就会当场摔死,一路踩到强化玻璃才能过关。
二选一,即使靠蒙,胜率也高达50%。
然而,虽然每一节的变化只有2,两节的变化也就是2✖️2,连续18的变化是2的18次方,却高达262144种。
这是一个指数级的增长。
要想连续18次都蒙对,成功的概率是(2的18次方)分之一,也就是约为30万分之一,约为死于从楼梯上摔下来概率的二分之一。
然而,在《鱿鱼游戏》里,最终有三个人过关,除了靠玻璃厂师傅肉眼辨别出来的较少环节,主要都是以人命为代价蒙出来的。
理论上,如果人们不自相残杀,即使是靠蒙,活下来的人也应该多于三人。
为什么一个成功率只有近三十万分之一的游戏,仅仅靠十几个人就能打通关呢?
因为这是18个串联在一起的二选一,18个人用命去蒙,相当于一个逆向的指数效应,可以用非常有限的测试,来找到262144种可能性中唯一正确的可能性。
我称之为:逆向复利。
尽管这是个能够单独成篇的“原创概念”,但本文不止于此,我还将:
1、再次提起香农对于信息的定义:消除不确定性。
2、进而,二进制真的只是为了实现可计算吗?并非如此,本文将通过一道有趣的智力题,来谈及信息的“维度”;
3、如果说1是原理,2是计算,这部分则会重提被99.9%的人误读的芒格多元思维模型,本质上这种思考模型是用于“消除”,但人们往往以为是“增添”。
4、所以,“瞎子摸象”是对的。面对未知世界,我们与瞎子无异,我们的每次看见,观察,想到,都和瞎子一样只摸到了局部。
但是,我们也必须在不完备的信息前采取行动。
世俗意义上,每个行动力强大的“成功者”,底层都是二进制的。
即:将所有需要做决策的难题,转化为二选一的问题。
5、用“灰度认知,黑白决策”这个我原创的概念来收尾并点题,会把我们的这次探险拖回生死游戏的主题。
在《鱿鱼游戏》的玻璃桥这一关,游戏者每次必须做出二选一的“黑白决策”,不管是踩上了钢化玻璃,还是坠入死亡深渊;只有如此,才能够在262144种可能性的“灰度认知”里,找到一条活路。
以上5部分,将构成一次完整的思维探险。
开始吧!
001
先来玩儿一个简单游戏:
已知有两个抽屉,各有一黑一白两个盒子,一共四个。其中一个盒子里有颗大钻石,猜中了就归你。
你可以问任意问题,主持人必须回答,但只能说“是”或者“不是”。
请问你最少要问几次?
也许你在宿舍生活时,玩儿过类似的游戏:通过不断问问题,获得“是或不是”的反馈,然后一步步解出谜题。
答案是你需要问两次:
第一次:是在左边的抽屉里吗?
(是,则左;不是,则右。)
第二次:是在黑色的盒子里吗?
(是,则黑;不是,则白。)
这个问题,是为了引出香农那并不算太简单的信息论。
“含义与信息无关”,这看起来是个很奇怪的说法。然而,正是在拉尔夫·哈特利这一观点的影响下,香农意识到:
应该从物理层面,而非是心理层面来定义信息。
信息到底衡量了什么?它衡量了我们所克服的不确定性。
举一个例子,如果一枚硬币的两面都是头像,那么无论你抛多少次,它能够赋予你任何信息吗?
《香农传》一书写道:香农坚持它不能提供任何信息。它不能告诉你尚不知道的情况,因为它不具备任何不确定性。
所以,在《鱿鱼游戏》中的第五关“跳玻璃桥”,一个人向前跳,不管他踩中了钢化玻璃,还是不幸踩碎普通玻璃,都为团队提供了信息。
这种信息,是通过消除不确定性来实现的。
那么,该如何度量信息呢?
香农引入了“比特”的概念。
比特来自二进制,香农认为可能拥有的最简单的信源,就是抛硬币,正或反,是或否,1或0,这是可能存在的最基本的信息。
就像信息的原子。
比特是在两个等概率的可能性之中进行选择后所产生的信息量。
所以“一台拥有两种稳定状态的设备……能够存储1比特信息”。
回到开始的猜钻石游戏,你需要多少信息?
在左右抽屉里二选一,对应1比特;
再在黑白盒子里二选一,对应1比特;
所以你总共需要2比特,以实现在四个盒子里选出一个。
玻璃桥游戏里,总变化高达262144种可能性,但因为这是18个串联在一起的二选一,我们算一下需要多少信息:
也就是计算262144以2为底的对数:log2262144=18,相当于2的18次方的逆运算。
为什么计算对数?
因为:采用概率分布的对数作为信息的量度的具有可加性。
由于求对数,所以有一种逆向的指数效应。其所产生的加速效应,我称之为逆向复利。
过玻璃桥的变化虽然很多,但信息只有18比特。
那么,每跳一个人,不管是否掉下去(就像抛硬币无论正反面,获取的信息是一样的),就获得了1比特。
当然,如果没掉下去,就又多了一次下一轮的测试机会。
由此,每跳一次,就获得了一个信息,也就消除了一部分不确定性。教科书对此的描述是:
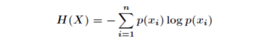
香农将热力学的熵,引入到信息论,因此它又被称为香农熵,或信息熵。
在信息论里面,熵是对不确定性的测量。
在信息世界,熵越高,则能传输越多的信息,熵越低,则意味着传输的信息越少。其公式如下:
其中p(xi)代表随机事件X为xi的概率。
还是以扔硬币为例。
扔一次硬币,出现正面的概率是 p1=0.5, 出现反面的概率也是p2=0.5。
所以,根据公式计算:
H = -(0.5✖️log2(0.5) + 0.5 ✖️log2(0.5)) = 1比特
但是,如果这枚硬币被做了手脚,出现正面的概率是0.7, 反面是0.3。那么“扔一个这个硬币”这个事件的信息熵是多少呢?计算如下:
H= -(0.7✖️log2(0.7) + 0.3✖️log2(0.3)) = 0.88比特
假如你去玩抛硬币的游戏,而且你知道有一桌的硬币做了手脚,正面概率是70%,那么你一定会选这一桌,并且每次都押正面,因为其信息熵更低,这意味着该“不确定性”比公平的硬币降低了。
在《鱿鱼游戏》里,那位玻璃厂的老师傅,就是靠自己的专业,降低了自己每一次蒙的行为的信息熵,就像上面那个做了手脚的硬币。
因此,他消除不确定性的“能力”更强。
010
二进制真的只是为了实现可计算吗?
“是”,或者“否”,只是作为信息的原子吗?
《鱿鱼游戏》的玻璃桥游戏里,每跳一次,前行的不确定性就被消除了一半。
顺着这一点,我想谈及信息的“维度”。
还是从一道更有趣的题开始:
国王有一百桶酒,比自己的生命还重要。结果有一天其中一桶被投了慢性毒药,喝了以后半个小时就会死掉。国王大怒,命令玩忽职守的侍卫去试毒。酒不能被混合,一个侍卫可以喝多桶酒,一桶酒也可以由多个侍卫喝。
请问:怎么样才能用最少的侍卫、在半小时内知道哪桶是毒酒?
解法1:一维法
最简单的方案,是让每个人试一桶酒,用时30分钟,就可以判断出哪一桶酒有毒。
这个是“一维”的直线思维,在现实生活中也未尝不可,好过什么都不干。
这样的解法,答案是:99个人。
解法2:二维法
从二维层面去思考,引入笛卡尔的坐标。
把100桶酒摆成10✖️10的矩阵,如下:
接下来:
让阿拉伯数字编号的1号侍卫(如上图,黄色),把第1行酒每桶喝一口,一直到10号喝第10行;
让汉字编号的一号侍卫,把第一列酒每桶喝一口,一直到十号喝第十列;
由于坐标的定位功能,假如毒酒在图中绿色的位置,那么3号侍卫和二号侍卫都会死,自然可以锁定毒酒的位置。
这样的解法,答案是:20个人。
解法3:三维法
能否再延伸至三维层面去思考呢?
我们很容易想到,搭建一个5✖️5✖️4的三维模型,正好有100个位置放酒,如下:
接下来(和二维解法差不多):
让阿拉伯数字编号的1号侍卫(如上图,黄色),把黄色箭头这一面墙的酒每桶喝一口,一直到5号喝第5面墙;
让汉字编号的一号侍卫(如上图,橙色),把橙色箭头这一面墙的酒每桶喝一口,一直到五号喝第五面墙;
让字母编号的a号侍卫(如上图,蓝色),把蓝色箭头这一层的酒每桶喝一口,一直到d号喝第四层;
同理,通过三个维度,也可以锁定毒酒的位置。
这样的解法,答案是:14个人。
最笨的方法1,会死一个侍卫;方法2会死两个,方法3会死三个,总之一个维度会死一个。
所以题目中有含糊的地方,到底是用最少的侍卫,还是死最少的侍卫?考虑到国王的残酷,我们姑且认为是前者。
然而,即使聪明如你想明白了上面三个维度的解法,还是没有找到最优答案。
解法4:二进制
如果用计算机的思维来分析这个问题,那么首先考虑如何存储这100桶酒。100桶酒可以用二进制7个比特来表示(2的7次方>100)。
上面的解法1到解法3,都是用100个位置存储100桶酒,只是描述位置的坐标,从一维到三维,效率越来越高,所以用的侍卫越来越少。
如果用二进制呢?
二进制,是逢二进一的计数编码方法,只有0和1两个数码。那到了2怎么办?只有往前进一位,变成10。
所以,十进制的2、3、4、5,二进制分别表示为10、11、100、101。二进制广泛应用于电子计算机的数据处理。
回到我们的题目,计算如下:
第一步:对于每一桶酒的二进制表示,编码后,最长的数字是7位数,不足七位前面用0表示;
1号桶是0000001,
2号桶是0000010,
3号桶是0000011,
4号桶是0000100,
……
100号桶是1100100;
第二步:可以找七个侍卫,从左到右,编号“一”至“七”,每人对应一个位数,从第一位到第七位。
第三步:负责第一位数的侍卫“一”,只要这100桶酒中,二进制编码的该位数对应的数字是1,则喝掉此桶酒。
如此类推,每个侍卫喝掉他所负责的位数上数字是1的酒。
第四步:30分钟后,侍卫按照“一”至“七”,死掉的置为1,活着的置为0。
例如,假如第七桶酒为毒酒,其二进制编码是0000111。那么按照上面的喝酒规则,其五、六、七位都是“1”,所以编号五、六、七的侍卫都会死。
前四个侍卫,遇到这瓶毒酒,因为对应的数字是0,所以都会活。
二进制的0和1,正好对应了死和活。
根据7个侍卫的喝酒后半小时的生死状态,能够得出毒酒的二进制编码。
这样的解法,答案是:7个人。
以下,请允许我从一个非专业人士的“感知”的角度,来说说这道题的启示:
1、第一种方法,是简单的线性搜索;
2、第二、第三两种方法,是增加了维度的线性搜索,可以理解为交叉搜索,等价于坐标系;
3、前三种解法,维度越高,效率也就越高;
4、因为有“半小时”的时间约定,所以不能用简单的二分法来解答。所以,第四种解法用二进制为100瓶酒编码,进而用0和1对应不喝与喝(也对应了撞见毒酒后的生和死)。
5、那么第四种用二进制的解法,是否可以理解为“7维”的解法?
第一种解法有1个维度,该维度上有100种可能。这其中的99种,每种可能都需要1个侍卫去通过喝酒“消除不确定性”;
第二种解法有2个维度,每个维度上有10种可能,每种可能都需要1个侍卫去通过喝酒“消除不确定性”,然后这两个维度的交叉点,就是毒酒的位置;
第四种解法有7个维度,每个维度上有两种可能,每两种可能,只需要1个侍卫去通过喝酒,就可以“消除不确定性”。于是,这七个维度的交叉点(表述为一串二进制数字),就是毒酒的位置。
通过这个未必严谨的“维度”隐喻,我们能发现,二进制的“是”或“否”,产生了一种判断上的两倍杠杆效应。
所以,第四种方法,只要让2的n次方大于100即可。
于是,指数效应出现了,n是7的时候,2的7次方是128,够用了。
在本题中,将二进制类比为7个维度,很有趣,但这并不是我的目的。
结合跳玻璃桥的“消除不确定性”,和喝毒酒的“维度”,可以跳到下一节的话题:
被误读的芒格。
011
芒格的“多元思维模型”,是说通过研究和考量多种内部和外部因素、不同行业和跨学科的信息及知识,对投资决策进行权衡。
对该模型的厉害之处,绝大多数人们的理解是:
“你不能手上只有一个锤子,你得背一个工具箱,不断往里面放进一些重要的工具,否则如果你下次遇到的不是钉子,而是一个易碎的宝藏,你只能用锤子砸开。”
芒格鼓励人们掌握多种思维模型,很多人认为就像收集龙珠,只要达到一定数量就可以很厉害了。
这是巨大的误读。
人们忘记了,芒格和巴菲特最主要的工作是:
对形形色色的投资机会说不。
所以,他的多元思维模型,是用于摧毁的,而不是用于构建的。
他摧毁的,是投资中的不确定性。
而我们绝大多数人,从事的是构建和搬砖的工作。
多元思维模型基本上不会提高一个普通人的构建能力。
回到香农的定义:信息是用来消除不确定性的。
可是,多元思维模型很多时候给人们带来更多的不确定性。
多元思维模型不是用来搭建一个“厉害杀人武器集合”的,而是用来切割钻石。这个钻石就是你的大脑。
该模型的另外一个误导之处,就是“模型”这个词。
芒格是物理爱好者,他对行为经济学等领域也充满了兴趣。在思维层面,模型并非是数学和物理层面的概念,而是所谓底层原理的隐喻。
这类隐喻,以及所有类似的“概念、干 货、图表”,几乎都只是临时的脚手架,在去除了湿漉漉的环境要素和专业深度之后,什么都不是。
这种脚手架,这些夹层解释,这些认知的幻觉,维特根斯坦从哲学层面不喜欢,图灵从计算层面不喜欢,香农从信息层面不喜欢。
且不论,跨学科的目的是为了形成底层的连接。就像神经元之间的连接一样。
以及,只有当你在某个领域钻研到一定深度,这时候通过跨学科阅读,会有意外的突破,甚至形成“通感”。
为什么多元思维模型对芒格管用?
因为他的工作是说“不”。
为了避免让自己减少误判的概率,芒格的方法是:
主动证明自己的错误的。
所以,他采用交叉证伪法,从不同的维度去拷问自己,否定自己。
就像上面那道“找毒酒”的题目里,切割的维度越多,“证伪”的效率越高。
有目的的学习也许分两种:
一种是发散式的,为了增加知识;
一种是消除式的,为了减少幻觉。
对成年人而言,更多是指第二种。
所以,我们应该用多元思维模型来 识别他人的胡说八道 ,而不是用于自己对别人胡说八道,更别用于自己对自己胡说八道。
100
回到二进制。
世俗意义上,每个行动力强大的“成功者”,底层都是二进制的。
这也许关乎信息与决策的“第一性原理”。
记得谷歌的创始人佩奇说过,他喜欢将所有的决策难题都变成“二选一”的问题。
其中的原理,相当于把图灵“可计算的问题”,转换为“可行动的问题”。
如果说前面的多元思维模型是“升维”,那么二进制的行动者则是“降维”。
思考上“升维”,行动上“降维”。
不光是技术范儿的决策者,偏文艺的乔布斯去客户那里谈生意,在会议室里的第一句话就是:你们能拍板的人在不在?
假如不在,他掉头就走。
在商言商,光聊天的确是耍流氓。(当然,如果朋友间也是如此就悲催了。)
就像在死亡游戏里,呆立玻璃桥上啥也不干挡住大家求生的人。
但这不意味,这个世界是非黑即白的,我们对现实的判断往往也充满了灰度。
香农的信息熵,将概率和不确定性引入了信息。这本身就象征着灰度。
然而,“是”或“否”,是最基本的信息。
如上所述,心理因素,情感因素,被从信息中“去除”掉了。假如有的话,也会变成“0”和“1”。
就像AI下围棋,传统围棋高手那些不可言传的“心法”,那些风格,那些棋理,那些坚守的棋道,都被消除掉了。
有趣的是,AI反而实现了一种远超人类的围棋大局观。过往,人们认为这一点(包括直觉、大局观、灵感)是围棋作为人类智力巅峰游戏的最后壁垒。
当然,我们仍然处在一个物理定律、社会规则、个人心理等因素交织在一起的复杂系统里。
算法与心法纠缠在一起。
以及,人类经常干蠢事的大脑,看起来有着比“0和1”计算机更强大的运行机制。
但是,正如莎士比亚的“To be or not to be”,0或1,二选一,黑白决策,是人生的“元决策”。
就像人只有生或死两种状态。
101
本文的草稿,我追溯了从亚里士多德、莱布尼兹到布尔的逻辑之路。
又顺着罗素、维特根斯坦、图 灵、冯·诺伊曼、香农等天才人物对人类思维与机器思考的探索,来谈及0和1何以成为这个世界的基本元素。
后来我主动消除了那些不利于减少“理解二进制”的不确定性的文字。
简而言之,许多聪明人走过了一条复杂的玻璃桥,通过消除各种瞎子摸象般的偏见,实现了喜欢八卦的 莱布尼兹那“万事万物”或许皆可计算的梦想,并努力拯救语言给我们的边界、误导和确定性幻觉。
莱布尼兹对二进制惊人的直觉--“ 二进制乃是具有世界普遍性的、最完美的逻辑语言 ”成为现实,并改变了整个世界。
从逻辑,到数学,到可计算,到计算机,再到信息革命,0和1,二进制,比特,已经不再是想象中的抽象事物。格雷克写道:
比特是另一种类型的基本粒子:它不仅微小,而且抽象——它存在于一个个二进制数字、一个个触发器、一个个“是”或“否”的判断里。
它看不见摸不着,但当科学家最终开始理解信息时,他们好奇信息是否才是真正基本的东西,甚至比物质本身更基本。他们提出,比特才是不可再分的核心,而信息则是万事万物存在的本质。
物理学家约翰·阿奇博尔德·惠勒说:“万物源自比特。”
他写道:
“我们所谓的实在( reality),是在对一系列‘是’或‘否’的追问综合分析后才在我们脑中成形的。所有实体之物,在起源上都是信息理论意义上的,而这个宇宙是个观察者参与其中的宇宙。”
因此,整个宇宙可以看作一台计算机——一台巨大的信息处理机器。
而人类的命运,则是这台超越人类想象力的机器中的一部分。
110
《鱿鱼游戏》里,跳玻璃桥,其实是比拔河更体现团队协作的游戏。
尽管每个人都是为自己而活,但是前面死掉的那些人,确实是为后面的人而死。
拿命去试,似乎很荒唐。
但是,人类社会不就是如此吗?
在这场概率游戏里,有些人赢了,有些人输了。
赢了的人应该意识到,那些输了的人是为自己而输。
就像扔一个六面的骰子,假如你一次就幸运地投中了自己想要的数字“6”,那么理论上在另外五个平行宇宙里的“你”,承担了其它五个你不想要的数字。
人类的进化,文明的前进,靠的就是无数人用自己的一生去试。
关键在于,人类的命运必须关联在一起,而不是彼此独立地盲目去试。
“全体人类就是一本书。当一个人死亡,这并非有一章被从书中撕去,而是被翻译成一种更好的语言。”
每个人的一生不也是如此吗?
“我”的一生,就是无数个不同时刻的“离散的我”串联而成。
时间,就是我们人生当中前途未卜的玻璃桥。
每一个离散的时刻,就有一个“过去的我”踩中普通玻璃。
本质上,我们是在牺牲掉一个个“过去的我”,他们坠入时间的深渊,为“未来的我”试出一条活路。
《鱿鱼游戏》里的玻璃桥,有两种善良的属性:
一个是被串起来,有路线。
一个是二选一的胜率很高。
很残酷的现实是,我们并没有一条这样的路线。
在人生的诸多个二选一之中,我们也极少有 50%的胜率。
我们未来是网状,更加随机,更加充满不确定性,也因此更为仁慈。
在漫无边际的人生里,你要自己搭出玻璃桥来,找到自己的 人生算法 :
以 灰度认知 ,在每个二进制的节点,做出二选一的 黑白决策 。
也许我们的一生,就是一个比较温和版的鱿鱼游戏。
谢谢你陪我玩儿。
本文来自微信公众号 “孤独大脑”(ID:lonelybrain),作者:老喻的,36氪经授权发布。















