这个14岁高中女生改变了美国防疫史:社交隔离政策竟发源于她的课堂项目
编者按:本文来自微信公众号“新智元”(ID:AI_era),编辑:啸林、白峰,36氪经授权发布。
社会隔离的点子已经存在了几个世纪,但直到凑齐历史教训、小布什总统和一群坚定的研究人员,以及最关键的,当时年仅14岁的劳拉的高中课程作业,它才成为美国国家政策。
自中世纪以来,在瘟疫大流行期间进行社会疏远的概念就一直存在。
其中最为典型和感人的古代例子之一,是500年前欧洲黑死病时期一个位于要道的普通的英国村庄,为免瘟疫蔓延全国,村民们把自己关在村子里400天的故事。
他们最终用自己的隔离和牺牲,拯救了大半个英国。
1918年在西班牙流感爆发期间的圣路易斯。研究人员从该市的应对中发现了宝贵的经验教训。
即使社交隔离已经被过去的几百年证明,是在没有特效药的情况下应对疫情的最好措施,但要让它成为美国的官方措施,还需要一场战斗。
这场国家级战斗最奇妙的地方在于,它的决胜的关键,在于一名14岁高中女孩的一个科学项目。
纽约时报原文作者:想象你是个高中生,做了一个科学项目,研究社交网络是如何运行的。你爸爸在一个国家级实验室工作,他帮了帮你。你知道的下一件事儿,就是你的科学项目帮助塑造了整个国家的历史。
社交隔离,在2005年的美国困难重重
14年前,华盛顿郊区的一家汉堡店。
曾担任白宫生物防御政策顾问的理查德·哈切特(Richard Hatchett)和担任佐治亚州退伍军人事务医疗官员的卡特·梅彻(Carter Mecher),在与一位同事会面,最后核对了一遍他们那个一定会被政府官员反驳的提案:
告诉美国人,下次遇到致命的疾病大流行时,待在家里,不要去工作和上学。
社交隔离虽然现在人尽皆知,但在2006、07年首次通过联邦官僚机构时,它被认为是不切实际、不必要和在政治上不可行的。他们的提案遭到了高级官员的质疑和嘲讽。
当时的局面一度有多难看?“他们说的‘闭嘴’两字之间,其实还有另外三个字(TMD)。” 五角大楼研究小组成员霍华德·马克尔(Howard Markel)博士回忆道。
在国际上根除天花的工作中一直处于领导地位的DA Henderson博士,最初对社交隔离计划严词抨击。
在21世纪初,随着过去几十年医疗和制药技术的蓬勃发展,美国人逐渐有了一种内在期望:
无论什么病,都必须要有某种特效药或者应对方法。把大家锁在家里不去上班,会毁掉国家的经济,是一种因手足无措而导致的落后的中世纪的做法。
另外,这也关系到美国根深蒂固的个人自由主义价值观:长期以来,美国人一直认为强制限制公众集会或行动,在法律和道德上都值得怀疑。
因此,华盛顿地方官员,公共卫生专家和政策制定者之间存在相当多的怀疑并不奇怪。
梅彻回忆说:“人们不敢相信该战略将是有效的,甚至是可行的。”
但是在布什政府内部,他们仍被鼓励寻遵循科学、继续努力。
小布什:一定要积极防疫!
社交隔离的建议,其实是在小布什总统的授意下推动的。2005年夏天,当时已经开始关注生物恐怖主义的布什,读了讲1918年西班牙流感的《大流感》一书。
在炭疽热袭击和禽流感爆发后,小布什越来越担心疫情大流行。由于没有针对这些新威胁的疫苗,疫情完全可能会迅速传播。
当出现禽流感或猪流感时,我们能做的只有扑杀相应牲畜。香港出现禽流感,销毁了1.7万只活鸡。
2005年,布什在美国国立卫生研究院(NIH)的演讲中呼吁采取行动。
他在演讲中说:“大流行很像森林大火:如果及早发现,可能会以有限的损失被扑灭。
如果让它闷烧不被发现,它会长成地狱,迅速蔓延开来,超出我们的控制能力。
因此,我们正在立即采取措施,以确保世界各地动物或人类中禽流感或大流行性流感爆发的预警。“
为了发展预防措施,布什政府邀请了哈切特博士和梅彻博士,负责关于疫病预防措施的提案。
解决问题的关键:劳拉的社交网络模型
考虑到层出不穷的新病毒的危险,且现有药物不能对付所有传染性疾病,哈切特和梅彻的团队开始探索其他方法来对抗大规模蔓延。
正在百思不得其解的当口,梅彻博士遇到了建模大师罗伯特·格拉斯博士(Robert Glass)。他是Sandia国家实验室的复杂系统模型专家,专门研究建立先进的模型,以解释复杂系统的工作原理以及导致灾难性故障的原因。
罗伯特·格拉斯。这个事情告诉我们一个道理:学会建模,走遍天下都不怕。
更准确地说,是通过格拉斯博士,遇到了他的女儿劳拉(Laura)。
劳拉当时14岁,刚刚完成了一个课堂项目:建立了她就读高中的社交网络模型。
女儿的模型引起了他强烈的兴趣:他发现,在社交网络、校车和教室中,学生们联系极为紧密,就像罐头里的鱼一样挤作一团。
因此,在学校上课的学生,成为了传染病传播的完美载体。
格拉斯博士带着女儿一起推进这个工作,探索如果切断这些网络,对遏制疾病会有怎样的影响。
他们的研究结果令人吃惊。比如说一个一万人的城镇,通过关闭学校,就会使得感染病例数降到500。但如果学校保持开放,一半的人口将被感染。
其实研究人员很早就认识到学校是传播疾病的理想环境,但是从来没有想到学校对于疾病传播有这么大的影响。
国民警卫队队员在纽约的犹太社区中心消毒
格拉斯博士对这个结果十分震惊。他回忆道:“我的天哪,我们应该运用她得出来的结果,展开进一步的工作。”
他获取了他们的初步数据,并放到通常用于设计核武器的超级计算机andia里面来建模。
制定社会疏离准则的团队,梅彻博士是前排最中。
梅彻博士在他在华盛顿的办公室收到了超级计算机的结果,同样大为惊讶。
数据表明,如果城市关闭公立学校,疾病的传播将大大减慢,这可能是他们考虑的所有社交隔离方案中最重要的一步。
格拉斯博士在《新兴传染病》杂志上发表的一项研究中得出结论: “有针对性的社会疏远策略可以被设计为有效地缓解大流行性流感的局部发展,而无需使用疫苗或抗病毒药物。”
当时是高中生的劳拉因此获得了荣誉,她的项目还在2006 年参加了Intel国际科学与工程博览会。学霸的人生真的是开挂。
哈切特和梅彻团队很快开始测量美国标准校车座位的宽度和平均教室大小,计算出学生之间的距离有多近。
经过精密的量化计算,他们认为任何计划都必须包括封闭学校。
基于劳拉的这一发现,2007年,梅彻团队和Markel博士分别得出相同结论:
采取早期主动行动来限制社会互动,例如通过关闭学校或关闭公共聚会等多种措施,对于限制死亡人数至关重要。
在科学界得出结论后,政府经过了广泛的社会调查,最终选择支持社交隔离方法。
就这样,社交隔离这个结论,从14岁的劳拉的一个高中项目中发源,最终成为了美国政府政策的基础。
它在2009年甲型H1N1流感爆发期间有限地实施,直到如今的新冠疫情,社交隔离在全美范围内生效。
美国网友开始纷纷感谢深藏功与名的劳拉
”吹爆劳拉·格拉斯!她在高二的时候就参加了科学大会,最终影响了联邦健康政策——这就是社会隔离诞生的不为人知的故事。“
”亲爱的纽约时报原文作者:你知道劳拉现在在哪儿吗?非常好奇…“
我们在外网找了很久,都没有找到关于这位Laura Glass的信息。这名曾经的超级小学霸似乎并不用Twitter或者Facebook。除了纽约时报的这篇报道,在赛博空间里找不到关于她的任何资料。
这是真正的事了拂衣去,深藏功与名。
看看格拉斯父女的论文:居家隔离如何影响疾病传播
这篇论文于2006年发表在NIH官网上,并且获得了309次引用,频率相当高。
首先他们定义了一个社会关系网络,在这个网络中,人与人之间相互联系,病毒可以在网络中传播。通过对人、人与人之间的链接、疾病施加行为规则来模拟流感在网络中的传播,修改规则就可以模拟不同策略的有效性。
下面的网络代表了一个典型的美国小镇,包括儿童(11岁,17.7%)、青少年(12-18岁,11.3%)、成年人(19-64岁,58.5%)和老年人(65岁,12.5%)。
所有人都属于多个群体,每个群体都与同一社区的子网络相关联。家庭由儿童、青少年、成年人或老年人组成。按照2000年的人口普查结果划分年龄组别。每个家庭中的所有人都相互连接,平均连接频率为每天6次。每个人也属于1个延伸家庭组(如邻居等),这个组平均成员有12.5个,平均每天链接接触频率1。
为了代表额外的同龄人之间的互动,例如课外活动,游乐场等,人们被随机链接到平均3个同龄人之间(平均联系频率为每天1次)。最后,为了模拟从商业交易和其他企业进入公共空间的随机联系人集合,我们在所有年龄段施加了一个平均为25个链接 / 人的随机整体网络,以产生1个联系人 / 人 / 天(平均链接联系频率为0.04次/ 天)。
在我们的模型中有两类事件:人在疾病状态和流感在人之间的传播。潜伏期的人可能会产生症状,也可能没有症状,直接免疫,有症状的人要么待在家里,要么继续传播疾病,在各种情况下都定义了传播的概率。
人与人之间的传播事件是在每个人具有传染性时开始进行评估的。如果传播时间少于此人处于传染状态的时间段,则选择一个时间作为传播时间。否则,在该时间段内不会发生沿该链路的传输。所有传输参数和接触频率都可以在每个状态下进行修改,并且可以通过相对比例因子(例如IR)在各个年龄段之间进行更改。通过这种方式,可以实施疾病表示和缓解策略。
IR随时间变化的趋势。尽管无症状者的感染力随时间恒定(IR 0.25),但有症状者的感染性一直在变化,从感染前症状(IR 0.25)变为早期感染症状(IR 1.0)到晚期症状(IR 0.375)。
由于每个人的状态周期不同(由指数分布决定),并且一半的感染者无症状,因此蓝色人口比例IR变得平滑。选择疾病状态时期和IR值就能表示流感传播情况,红色正方形显示的是病毒丧失感染力。
作者在论文中模拟了很多情形,我们来看下针对社交距离有效性的实验。
第一个实验,在停课后将所有儿童和青少年送回家中,直到大流行。现在,对于仅包含儿童或青少年的所有群体(班级及其随机网络),接触频率降低了90%,而家庭中的儿童或青少年的接触频率则翻了一番。
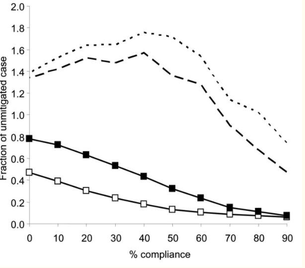
为了评估有效性和人们是否遵守社交隔离之间的关系,我们减少了非学校和非家庭接触者的比例,这些接触者的频率因儿童和青少年在家中停留而减少。在遵守率为50%时,病毒的攻击率可以降低68%。
事实也证明了,社交隔离确实起到了关键性的作用。
参考链接:
纽约时报:社会隔离诞生的不为人知的故事
https://www.nytimes.com/2020/04/22/us/politics/social-distancing-coronavirus.html?auth=login-facebook
论文原文:
https://www.ncbi.nlm.nih.gov/pmc/articles/PMC3372334/















