用钻石做芯片,又一重磅公布

半导体行业观察·2023年11月28日 10:25
钻石除了可能是女性最好的朋友,但它也可能是维持社会电气化所需的解决方案,以在未来 30 年实现碳中和。

为了在2050年实现世界碳中和的目标,电子材料必须发生根本性的变化,以创建更可靠、更有弹性的电网。钻石除了可能是女性最好的朋友,但它也可能是维持社会电气化所需的解决方案,以在未来30年实现碳中和。

美国伊利诺伊大学厄巴纳-香槟分校的研究人员开发了一种由金刚石制成的半导体器件,与之前报道的金刚石器件相比,该器件具有最高的击穿电压和最低的漏电流。随着世界向可再生能源过渡,这种设备将实现所需的更高效的技术。

据估计,目前全球50%的电力由功率器件控制,预计不到十年,这一数字将增至80%,同时,电力需求将增加50%。

根据美国国家科学院、工程院和医学院的一份新报告,“也许成功能源转型面临的最大技术危险是国家未能选址、现代化和建设电网的风险。输电能力、可再生能源部署将被推迟,最终结果可能至少是化石燃料排放量暂时增加,从而阻碍国家实现其减排目标。”

“为了满足这些电力需求并使电网现代化,我们必须从传统材料(例如硅)转向我们今天所采用的新材料(例如碳化硅)和下一代半导体(超宽),这一点非常重要带隙材料,例如氮化铝、金刚石和相关化合物,”领导这项研究的电气和计算机工程教授 Can Bayram 和研究生Zhuoran Han说。这项工作的结果发表在《IEEE Electron Device Letters》杂志上。

大多数半导体都是用硅制造的,到目前为止,已经满足了社会的电力需求。但正如Bayram指出的那样,“我们希望确保为每个人提供足够的资源,同时我们的需求也在不断变化。现在,我们使用越来越多的带宽,我们正在创建更多的数据(这也带来了更多的存储空间) ,我们正在使用更多的电力、更多的电和更多的能源。问题是:有没有一种方法可以让我们变得更加高效,而不是产生更多的能源和建造更多的发电厂?”

为什么是钻石?

金刚石是一种具有最高导热率的超宽带半导体,导热率是材料传递热量的能力。由于这些特性,与硅等传统半导体材料相比,金刚石半导体器件可以在更高的电压和电流下工作(使用更少的材料),并且仍然可以散热,而不会导致电气性能下降。

“要拥有一个需要高电流和高电压的电网,从而使太阳能电池板和风力涡轮机等应用变得更加高效,那么我们需要一种没有热限制的技术。这就是钻石的用武之地,”Bayram 说。

尽管许多人将钻石与昂贵的珠宝联系在一起,但钻石可以在实验室中更经济、更可持续地制造,使其成为一种可行且重要的半导体替代品。天然钻石是在地球表面深处在巨大的压力和热量下形成的,但由于它本质上只是碳(碳含量丰富),因此人工合成钻石可以在数周而不是数十亿年的时间内制成,同时产量也减少了100倍碳排放量。

在这项工作中,Bayram 和 Han 展示了他们的金刚石装置可以承受大约5kV的高电压,尽管电压受到测量设置的限制,而不是来自装置本身。理论上,该装置可承受高达9kV的电压。这是金刚石装置报告的最高电压。除了最高的击穿电压外,该器件还表现出最低的漏电流,可以将其视为具有能量的漏水水龙头。漏电流影响器件的整体效率和可靠性。

Han 说:“我们构建了一种更适合未来电网和其他电力应用的高功率、高压应用的电子设备。我们在超宽带隙材料——人造金刚石上构建了该设备,它有望实现更高的效率和更好的性能。” “性能优于当前一代设备。希望我们能够继续优化该设备和其他配置,以便我们能够接近金刚石材料潜力的性能极限。”

以下为论文原文:

具有高击穿电压的金刚石p型横向肖特基势垒二极管(0.01mA/Mm时为 4612V)

介绍

金刚石是一种新兴的高功率电子半导体,具有大带隙(EG,5.47 eV)、大临界电场(EB,10–20 MV/cm)、高载流子迁移率(μ , 高达2100厘米²⋅ V-1⋅ s-1 对于低掺杂浓度 (<1015 cm-3) 和高导热率 (k, 22 - 24W · CM-1⋅K-1 )。p 型硼掺杂剂相对较低的活化能(0.38 eV,而 n 型磷为 0.57 eV),同时,CVD 生长的硼掺杂金刚石的成熟促使 p 型金刚石肖特基二极管用于研究和高临界领域7.7 MV/cm 和 2.5 kV 的击穿电压已在垂直或伪垂直配置中得到证实。在这些器件中提高击穿电压需要增加漂移层厚度,这对于实验生长来说具有挑战性,并且蚀刻得更深,这会产生加工问题。将金刚石 SBD 缩放到更高电压的一种方法是使用其横向配置,其中击穿电压通过调整阳极和阴极之间的距离来缩放,而不需要厚的漂移层。

在这篇文章中,报道了通过接触再生和边缘终止技术实现的具有高击穿电压 (4612 V) 的金刚石 p 型横向肖特基势垒二极管 (SBD)。使用热电子发射模型和 Mott-Gurney 关系研究正向 IV 特性。使用 Synopsys 的 Sentaurus TCAD 软件在反向偏压下模拟 SBD,以研究场板(Field Plate:FP)结构的影响。仿真预测显示,添加场板后峰值电场会显着降低,这与实验测量的有或没有场板的二极管的击穿性能一致。最后,横向 SBD 在比导通电阻 (R ON ) 和击穿电压 (V br )方面与之前报道的金刚石功率器件进行了基准测试。

器件制造

图1显示了金刚石p型横向SBD的外延(通过微波等离子体增强化学气相沉积(MPCVD))和洁净室微加工工艺流程。

首先,一个2微米_p- 漂移层([B]< 8 ×1015 cm-3])生长在3 × 3 mm2 Ib (100) 型高压高温 (HPHT) 的金刚石基材上。使用光学轮廓测定法测量外延层的RMS表面粗糙度为7.5nm。然后,200纳米p+ 钻石([B]~3 ×1020 cm-3 ])选择性生长以形成欧姆接触区。通过电子束蒸发 Ti (30 nm)/Pt (30 nm)/Au (100 nm) 形成欧姆金属接触,然后在 Ar 气体环境中在 450 °C 下热退火 50 分钟。欧姆接触的比接触电阻通过 TLM 测量确定,测得为 1.25±0.98 ×10−4Ω -CM²。接下来,通过电子束蒸发沉积300 nm Al2O3场板,然后进行剥离工艺。Al2O3被选为场氧化物,因为它相对于金刚石具有较高的介电常数(对于沉积的Al2O3而言,k=8.63 ± 0.07 ),这降低了电场强度,并且氧终止钻石的能带偏移较大。在肖特基接触沉积之前,暴露的金刚石表面在室温下经过臭氧处理 1.5 小时以获得稳定的氧终止。Mo (50 nm) / Pt (50 nm) / Au (100 nm) 的肖特基金属叠层通过电子束蒸发沉积。Al2O3场板的内半径和外半径分别为40微米和80微米。肖特基接触的半径为60微米,欧姆接触和肖特基接触之间的间隔为d= 80微米。所制作的带有场板的圆形结构金刚石p型横向SBD的俯视显微镜图像如图1(f)所示。

图1:金刚石横向 SBD 的外延和洁净室微加工步骤 (a)p-漂移层外延生长;(b)p+ 接触层选择性生长;(c)欧姆接触沉积;(d)Al2O3场板形成;(e) 肖特基接触沉积;(f) 使用视场板制造的金刚石横向 SBD 的俯视显微镜图像。

结果与讨论

图2(a)显示了在室温下有和没有Al2O3场板的情况下所制造的金刚石p型横向SBD的半对数和线性(插图)JV曲线。没有场板的 SBD 具有相同的肖特基到欧姆距离d=80微米,肖特基接触半径与Al2O3场板的内半径相同。两个二极管在+/-5V范围内均表现出107的整流比。对于带场板和不带场板的SBD,40 V 正向偏置下的线性电流密度分别为0.049 mA/mm和0.044 mA/mm 。SBD 在进行高温和击穿测量之前经过多次重新处理,并在前向JV特性中表现出良好的再现性。对于具有和不具有 FP 的 SBD,四个制造批次之间在40V 正向偏压下的正向电流密度的最大差异分别为 15% 和 6%。零偏压下的肖特基势垒高度 (SBH) 使用热电子发射模型根据前向JV曲线的对数线性区域进行拟合来计算。

如图所示,JS ,A* ,T ,n ,q ,φb , 和kB是反向饱和电流密度,理查森常数(90 A cm−2 K² 对于金刚石),分别是绝对温度、理想因子、基本电荷、SBH 和玻尔兹曼常数。带和不带场板的 SBD 提取的理想因子分别为 4.77 和 3.71。根据四个制造的 SBD 的配件估算的 SBH 为 1.02 ± 0.01 eV。SBH 与先前报道的横向器件中的其他钼金刚石肖特基接触非常一致。

图 2:(a)室温 (RT) 下,带和不带场板 (FP) 的金刚石横向 SBD 的正向J -V 特性,以半对数和(插图)线性标度表示;虚线表示计算出的空间电荷限制传导 (SCLC) J -V 关系。(b) 200 °C 时,带和不带 FP 的金刚石横向 SBD 的正向J -V 特性,采用半对数和(插图)线性标度。

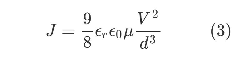
图 2(a)还绘制了在所制造的二极管中计算出的 10 – 40V 正向电压下的空间电荷限制传导 (SCLC) 电流密度。由于掺杂剂在室温下不完全电离,漂移区中的活性空穴浓度估计低于1014cm-3。随着施加的正向偏压增加,随着注入电荷在漂移区累积,电荷中性不再保持,SCLC 开始占主导地位。对于轻掺杂半导体,SCLC 由 Mott-Gurney 关系描述:

如图所示,J ,εr ,ε0 ,μ ,V ,和d 分别是电流密度、相对介电常数、自由空间介电常数、载流子迁移率、漂移区两端的电压和漂移区的长度。计算出的 SCLC 电流与测量数据非常一致。在 200 °C 时,大多数受体被电离,并且带和不带场板的 SBD 在 40 V 正向偏压下的线性电流密度分别显着增加至5.39 mA/mm 和5.09 mA/mm,如图 2(b)所示。

图3显示了有和没有场板的SBD的反向漏电JV特性。在反向测量过程中,将金刚石晶圆浸没在 3M™Fluorinert™电子液体中,以防止空气击穿。当泄漏电流急剧增加到合规极限时,不带场板的横向 SBD 在 1159 V 时击穿50微安。第一次击穿后,反向电流密度在低反向偏压下增加,这证实了泄漏路径的产生。测量后未发现肖特基触点有任何物理损坏。然而,重复的击穿测量表明击穿电压有所下降。带有场板的 SBD 表现出高达 4612 V 的稳定漏电流,这是 Fluorinert™ 电子液体的极限。4612V反向偏压下的漏电流密度小于0.01mA/mm,与击穿前没有场板的SBD相似。相对较高的稳定漏电流可归因于外延生长的漂移层的高表面粗糙度(RMS粗糙度= 7.5 nm),这是由粗抛光和随机生长缺陷引起的。

图 3:带和不带 FP 的金刚石横向 SBD 的室温反向漏电J -V 特性。

图 4显示了沿着虚线切割线的模拟水平电场强度0.1 μm 远离金刚石-肖特基接触界面,用于横向 SBD(带或不带场板),反向偏压为 3 kV。Synopsys Sentaurus TCAD 软件用于研究Al2O3场板的影响。结合了经验迁移率模型、Overstraeten 和 Man 模型的碰撞电离系数、掺杂剂的不完全电离以及由于镜像力导致的肖特基势垒降低。在电场拥挤严重的金属-半导体界面附近的漂移区域检查电场强度。仿真预测,添加 300 nm 厚的Al2O3场板后,肖特基接触边缘附近的峰值电场将减少 56%。

图 4:沿着虚线切割线的模拟水平电场强度0.1微米_远离金刚石-肖特基接触界面,用于在 3 kV 反向偏压下带或不带 FP 的横向 SBD。

图 5显示了特定导通电阻 (R ON ) 与击穿电压 (V br )的基准在室温下。这项工作表现出比先前报道的伪垂直和垂直 SBD、横向 MESFET、MOSFET 和 JEFT 更高的击穿电压。

图 5:所制造的横向 SBD 与之前报道的金刚石功率器件(包括横向 MESFET、MOSFET 和Jet FET,以及室温下的伪垂直和垂直 SBD)进行比较的基准。括号中显示了报告击穿时的漏电流。

具体导通电阻标准化为527Ω-cm²,对于带场板和不带场板的 SBD 为34Ω-cm²,-cm²。R ON值比最先进的伪垂直和垂直 SBD 高 3 到 4 个数量级。鉴于接触电阻较低(1.25±0.98 ×10−4Ω -cm² ) 的欧姆接触,大的 RON可归因于空间电荷限制传导 (SCLC) 和空间电荷区域p- 漂移层与 n 型 Ib 金刚石基板相关,可减少电流传导的有源层厚度。RON可以通过研究漂移层厚度和掺杂来优化。较厚的沟道可以增加线性电流密度,从而降低RON。还可以增加漂移层掺杂浓度以克服 SCLC 并允许更短的漂移层。

结论

总之,报道了带有和不带有Al2O3场板的金刚石 p 型横向 SBD。在室温下,二极管的整流比为107,在40V 正向偏压下,正向电流密度为 0.049(带场板)和 0.044(无场板)mA/mm。具体导通电阻为 534(无场板)和 527(有场板)Ω cm²。在反向偏压下,两个二极管在击穿前的漏电流密度均低于 0.01 mA/mm。Al2O3场板将击穿电压从 1159 V 提高到 4612 V,并且对 IV 行为没有明显影响。使用 Synopsys的 Sentaurus 软件通过 TCAD 模拟研究了Al2O3场板的影响,该软件预测在 3 kV 反向偏压下使用Al2O3场板可使峰值电场强度降低 56% 。

最后,提出了横向 SBD 在比导通电阻与击穿电压方面的基准。击穿电压是迄今为止 p 型金刚石肖特基二极管中最高的击穿电压之一。然而,需要进一步优化漂移层厚度和掺杂浓度,以降低 R ON并更接近金刚石的材料极限。

原文链接

https://ieeexplore.ieee.org/document/10236581

本文来自微信公众号“半导体行业观察”(ID:icbank),作者:IEEE,36氪经授权发布。

+1
7

好文章,需要你的鼓励

参与评论
评论千万条,友善第一条
后参与讨论
提交评论0/1000

最有深度的半导体新媒体,实讯、专业、原创、深度。

下一篇

36氪APP让一部分人先看到未来
36氪
鲸准
氪空间

推送和解读前沿、有料的科技创投资讯

一级市场金融信息和系统服务提供商

聚焦全球优秀创业者,项目融资率接近97%,领跑行业