AI炸翻物理学:21度室温超导预定诺奖?Nature撤稿教授反获OpenAI投资
人类在21℃条件下实现室温超导了?
物理圈彻底炸了!北京时间昨天下午,一颗惊雷在美国拉斯维加斯举办的物理学会上炸响——高温超导疑似实现颠覆性突破。
会议上,美国罗切斯特大学物理学家Ranga Dias报告了这个室温超导研究的里程碑式突破。
假如这次Ranga Dias真的实现了室温超导,那全球的能耗问题,将从源头上解决——人类将利用电能获得巨大的力量。
如果再从根上掌握了可控核聚变,我们甚至可以进行远距离的太空旅行,可以说,人类就真的要起飞了。
而掌握这项技术的人,无疑将引领世界。(简直是科幻走进现实。)
对此,佛罗里达大学的物理学家James Hamlin表示,如果结果是正确的,这可能是超导历史上最大、最震撼的突破。
当天,科学家们疯狂涌入会场,都希望自己能亲眼见证历史。由于物理大咖含量过高,主办方不得不叫来安保拼命堵门,驱赶人群。
然而呢,这位Ranga Dias却有「黑历史」的前科。一年前,他发在Nature上的C-S-H室温超导文章曾被撤稿,如今他又带着N-Lu-H的室温超导卷土重来。
所以说,在实验结果能成功复现之前,目前整件事还是疑云重重。
论文地址:https://www.nature.com/articles/s41586-023-05742-0
再登Nature,室温超导迎来大结局?
室温超导为何如此重磅,让全世界物理学家震惊?
超导体,顾名思义就是超级能导电的体,也就是电阻为零。这样就传输电流就不会发热,电线两端不需要电压。
如果超导体能实现商用,交流电就根本不需要了,变电站也可以退出历史舞台了。
而通过超导体的电流很大,就可以产生很强的磁场,在核磁共振、磁悬浮等领域都有极大的应用,连可控核聚变都不需要液氮超导了。
如果真的实现,物理学、材料学界都会迎来一场大地震,人类会直接开启第四次工业革命。 (从去年底的ChatGPT,到今年初的室温超导,人类科技的爆发年真的来了? )
高温超导泰斗朱经武教授也出现在了会场
超导是什么?
荷兰莱顿大学K. Onnes等人于1911年首次发现在温度冷却到-269°C以下时,水银的电阻会变为0。他们将这种状态命名为「超导」。
这是世界首次发现了超导现象,Onnes也凭此斩获了1913年诺贝尔物理学奖。
在之后的一百多年研究中,科学家们发现了成千上万种超导材料,包括各种元素材料、合金材料、化合物材料和超导陶瓷。
尽管目前的超导材料已经广泛应用到量子、MRI核磁成像等领域,但必须被冷却到超低温中才能实现超导态。
也就是说,我们在实际应用中,还是需要依靠昂贵的低温液体来维持低温环境。随之而来的是,维持低温的成本远远超出了超导材料的成本。
因此,室温超导,无需冷却的条件下实现零电阻导电,成为物理学家们的追求的目标,不断刷新最高临界温度的极限。
在此次的最新研究中,Ranga Dias和他的团队在实验中研发了一种由氢(99%)、氮(1%)和纯镥制成的材料LNH。
科学家将这一材料放置在392k的环境中反应3天。由氢、氮和镥组成的三元化合物最初是一种有光泽的蓝色。
这一化合物又被压缩在钻石砧槽中,在压力达到3kbar时,发生了一个惊人的变化「超导开始从蓝色变为粉红色」。
最后,在约30kbar压力下又变成了亮红色,电阻降至零。
Ranga Dias为这一震惊发现的材料还起了一个代号「reddmatter」。这一名称是受到了《星际迷航》中Spock创造的一种材料名字的启发。
实验发现,这种材料在约21摄氏度的温度,以及1GPa的压力下失去了任何对电流的阻力,进入了超导状态。
1GPa大约是大气压的10000倍(标准大气压约为101.325kPa),但是相比于室温超导体所需的数百万个大气压,这远远低于预期。
那么如何证明这种三元化合物达到了超导的条件?
论文中提到,评判超导材料的一个关键标准,迈斯纳效应(Meissner effect),即完全抗磁性。
能够实现完全抗磁,是因为超导体表面能够产生一个无损耗的抗磁超导电流。这一电流产生的磁场,抵消了超导体内部的磁场。
在量子设计物理性能测量系统(PPMS)上,利用振动样品磁强计(VSM)方法测量了不同温度下磁矩和 M-H 曲线的温度依赖性。
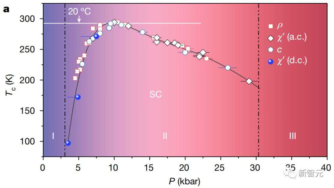
图3a显示了在零场冷却(ZFC)和场冷却(FC)条件下,温度对直流磁化率的影响。(χ = M/H,其中M是磁化强度,H是磁场)
然后通过测量磁场中冷却的迈斯纳效应,证实了超导相的存在。在大约8kbar的277K处观察到明确的迈斯纳效应的开始。M-H的曲线数据采用带VSM选项的PPMS记录。
磁化率
另一个标准就是零电阻效应。
是指在室温时是导体或半导体,甚至是绝缘体,可是当温度下降到某一特定值Tc时,它的直流电阻突然下降为零的这一现象。
实验中,在高压下氢-氮-镥化合物的温度依赖性电阻,表明在10±0.1 kbar时超导转变高达294K,是所有实验中测得的最高转变温度。
Nature称,如果氢-氮-镥三元化合物确实是实现了室温超导,那么它在实现如此高的转变温度中的作用还有待确定。
需要进一步的研究来证实Ranga Dias及其团队研究的材料是一种高温超导体,然后才能了解这种状态是由振动引起的库珀对(vibration-induced Cooper pairs )驱动的,还是由一种尚未发现的非常规机制驱动的。
预测新材料的机器学习算法
值得注意的是,这次实验在预测新型超导材料时,还用到了机器学习算法。
利用实验室中积累的超导实验数据,团队训练了一种算法,预测其他可能的超导材料。
这些材料实际上是从数以千计的稀土金属、氮、氢和碳的可能组合中,混合和匹配而成的。
「在日常生活中,不同的金属被用于不同的应用,因此我们也需要不同种类的超导材料,」Dias 说。「就像我们为不同的应用使用不同的金属一样,我们需要更多的环境超导体,来满足不同的应用。」
据称,算法由合著者Keith Lawlor开发,使用的是罗彻斯特大学综合研究计算中心提供的超算资源。
具体来说,大概步骤是物理学家用比较容易算出来的Eliashberg谱函数来训练神经网络,训练好后,再用神经网络生成更多比较难算的三元氢化物的Eliashberg谱函数。然后就能计算出各种三元氢化物的Tc,然后只需试几种Tc最高的三元氢化物即可。
有网友总结道:「现在我们知道了,今天的这个刷屏大新闻,幕后的英雄还是ML/AI。」
学界表示怀疑,作者不想公开
而即使这次实验,也并不严谨。据称,会议现场就有大佬提出质疑,当场和Dias对轰。
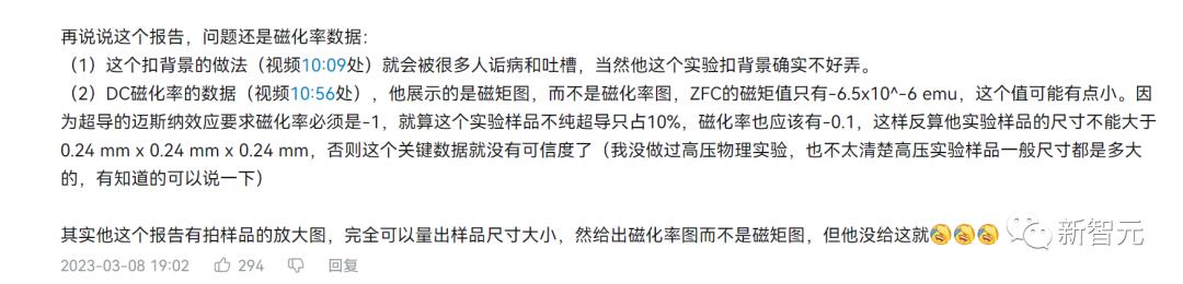
有眼尖的网友指出,PPT中抠背景的做法(图左)和DC磁化率数据(图右)都疑似有问题。
来自B站网友「sddtc888」
同样,Nature和Science也在新闻稿中表达了质疑。
文章地址:https://www.nature.com/articles/d41586-023-00599-9
文章地址:https://www.science.org/content/article/revolutionary-blue-crystal-resurrects-hope-room-temperature-superconductivity
佛罗里达大学物理学家James Hamlin表示:「我认为他们必须把自己的工作真正地公开出来,大家才可能会相信它。」
加州大学圣地亚哥分校的物理学家Jorge Hirsch更是直言:「我对此表示强烈的怀疑,因为我不相信这些作者。」
然而,学界的这个愿望可要落空了——
Dias不仅成立了一家初创公司Unearthly Materials,而且还申请了关于氢化镥的专利。
凭借这波操作,他不仅从包括Spotify和OpenAI在内的投资者那里筹集了超过2000万美元的资金,而且还不用担心别人找会上门来要「样品」。
对此,Dias表示:「我们对如何制作样品有明确、详细的说明。考虑到工艺的专有性和存在的知识产权,我们并不打算分享这种材料,当然也包括其中的方法和过程。」
对人类的划时代意义
一个多世纪以来,科学家们一直在追求凝聚态物理学的突破。
而超导材料凭借着两个关键特性「零电阻现象」和「迈斯纳效应」(完全抗磁性),对科技的进步有着极⼤的促进作⽤,比如:
可控核聚变
托卡马克装置,是一种利用磁约束来实现受控核聚变的环形容器。其中央是一个环形的真空室,外面缠绕着线圈。在通电的时候托卡马克的内部会产生巨大的螺旋型磁场,将其中的等离子体加热到很高的温度,以达到核聚变的目的。
而在产生强磁场的线圈上应用超导技术,则可以使磁约束位形能连续稳态运行,是公认的探索和解决未来聚变反应堆工程及物理问题的最有效的途径。
电力输送
电网在传输电力时,不会像现在那样因电线中的电阻而损失高达2亿兆瓦时(MWh)的能量。
据统计,用铜或铝导线输电,约有15%的电能损耗在输电线路上,光是在中国,每年的电力损失即达1000多亿度。若改为超导输电,节省的电能相当于新建数十个大型发电厂。
交通运输
磁悬浮高速列车。
不过这种磁悬浮技术可以不光用于交通领域,还可以用于建筑领域。也许将来人类生活在空中就不再是梦想了。
医学成像
更加廉价的医疗成像和扫描技术,如核磁共振和心磁图。
MRI不再需要使用大量的循环水冷却去维持其运行,故运行费用会变得更低,磁场强度却更好。
电子设备
用于数字逻辑和存储设备技术的更快、更高效的电子设备。
想象一下,你的电脑没有电阻,不再需要散热,电脑可以更轻薄。而且使用超导晶体管的集成电路,电脑的速度直接可以有几十几百倍的提升。
用电的效率会更高,家里的用电量直线降低,灯泡却更亮了,电动车跑的更快了,电器的使用变得更加方便,更多的精细电元件可以使用到我们的生活中。
来源:phys.org
量子计算
2013年,两位著名的量子计算专家,耶鲁大学教授Devoret和Schoelkopf写了一篇展望,给出了通用量子计算发展的一个路线图,而如今的超导量子计算已经处在第三到第四阶段发展的水平。
MIT的研究组显示超导量子比特退相干时间的「摩尔定律」,从最早第一个量子比特不到3纳秒,提高到了现在300微秒的水平。不到二十年的时间,提高了五个数量级,可见这个领域的发展速度之快。
而且几个著名的科技公司,包括Google、IBM、Intel等,都参加到了量子计算研发的行列中来,而他们都选择的是超导的方案。
如果室温超导可行的话,量子计算机上的应用,包括量子模拟、优化、采样、量子人工智能等等想必就会在不久的将来,开始改变我们的生产和生活方式。
黑历史重重,前一个研究刚被撤稿
这次事件一出来,质疑的声浪就很大,这也是因为圈内人都知道,Dias可是「老」学术明星了,前科重重。
在14年,他研究出来的金属氢被吹得天花乱坠,但是当人们想要查验实验成果时,Dias却声称用于保存金属氢的金刚石碎了,因而死无对证。
而在室温超导领域,Dias两年前就搞出过一个大新闻。
2020年10月14日,Dias团队就在Nature上发稿并登上封面,声称一种碳、硫和氢组合成的新材料能够实现室温超导,一时引起全球轰动。
然而在论文发表后,争议不断。即使是Dias的实验室合作伙伴,都未能复现他的实验结果(做了6次均失败)。
种种争议主要围绕文章中磁化率的测量数据——噪声处理后的曲线太平滑、太完美了,而Dias团队报告说,在去除噪声后测到了原始数据,但这一数据并未公布。
为了回应质疑,Dias等2021年在arXiv发布了原始磁化率数据,并且对其消除噪声信号的方法给出解释。
然而批评者仍不买账,康奈尔大学的量子材料物理学家Brad Ramshaw认为,「这篇文章暴露出的新问题比它试图解决的还要多,不管是原始数据,还是得到数据的过程,都非常不透明。」
加州大学圣地亚哥分校的理论物理学家Jorge Hirsch更是言辞激烈地指责Dias造假,不仅在arXiv发表抨击言论,还直接向罗彻斯特大学投诉。
作为被引用3.5万+,H-index 67的大牛,Hirsch的质疑也是有理有据的。 他看到Dias论文中某些区域的数据非常不连续,而且曲线斜率和变化方向相反,这种有规律的误差并不正常。
于是Hirsch对数据进行差分,相当于去除「杂质」,却得到了一条平滑、可导的曲线,这意味着T=170K是并不存在超导特征。
他还指出Dias论文中的数据与之前研究存在相似性,而当年那些数据的作者已经承认了有问题。
Dias回应称Hirsch并非高压物理学家,他的批评带着强烈的偏见。
事实上,Hirsch在量子多体研究方面有很大的贡献,他完善了费米子行列式的蒙特卡洛算法,且这几年一在研究各种高压超导实验和BCS理论。
Hirsch直言BCS超导理论存在「漏洞」,大量学者在该领域灌水
Hirsch随后发表的几篇批评Dias的论文被删除,arXiv甚至将其禁言6个月。这是否意味着Dias的胜利呢?
Hirsch的质疑文章被Physica C删除
并非如此!
2022年,质疑声随着论文的撤稿达到高潮。在9月26日,Nature编辑不顾作者集体反对,强制撤下封面文章。
撤稿当天,Science新闻栏目对该事件进行了报道,称该研究「有严重问题」。
撤稿通知给出的理由回应了之前的质疑,表示Dias团队「使用了一种非标准、自定义的程序」,从两个图显示的实验数据中去除噪声,而这一方法并没有给出清楚、可靠的解释。
批评者乐得看到撤稿的结果,Hirsch甚至觉得这还不够,学术造假这个真正的问题还没有被处理。
Dias团队显然并不服气,团队成员内华达大学达拉斯分校的物理学家Ashkan Salamat表示对Nature的这一决策感到困惑和失望,因为研究中电阻下降的结果并不处在争论的漩涡中心,而这恰恰是任何超导领域的发现中最重要的部分。
上个月他们还在arXiv发表新文章,重新测量了受到质疑的各项数据。但这次超导现象出现的温压条件为133Gpa、260K,与之前研究中所称的267Gpa、288K并不相同。
有意思的是,本次APS March Meeting 将Jorge Hirsch与Ranga P. Dias安排在同一个会场,前后脚做报告,Hirsch缠着绷带的形象,颇有既分高下,也决生死的气势。
不过,如果实验结果为真,那就妥妥是今年最大的全球科学突破,Dias也可以提前预定诺奖了。
而人类的能源模式,也将永远改变。
1900年,英国物理学家开尔文男爵说,物理的大厦已经落成,所剩的只是一些修饰性工作。第一朵乌云是光的波动理论,第二朵乌云是能量均分的麦克斯韦-玻尔兹曼理论。
还有一个说法是,谁能搞出室温超导,谁就是继牛顿和爱因斯坦之后的物理学第三人。
Dias会摘下这个桂冠、解决物理学的第三朵乌云吗?让我们静观后续。
参考资料:
https://www.nature.com/articles/s41586-023-05742-0
https://www.quantamagazine.org/room-temperature-superconductor-discovery-meets-with-resistance-20230308/
本文来自微信公众号“新智元”(ID:AI_era),作者:新智元,36氪经授权发布。















