糖拌西红柿治新冠咽痛有奇效?我冰淇淋第一个不服
很多朋友表示,得新冠最难受的症状不是发烧而是咽痛,咽痛可以从病程初期一直延续到退烧之后,持续一周甚至更长时间,有人描述这种痛感像“吞刀片”。
最近网络流行的一则传言称,想缓解咽痛很简单,吃西红柿拌白糖就可以。这条信息还说,西红柿能“降低血管通透性”,还含有一种特别的成分“维生素P”,能抗炎抗病毒,因此可以缓解咽痛。
网络流传的说法|微博
喉咙为啥能那么痛,糖拌西红柿真的能缓解咽痛吗?咽痛还能怎么办?
神药番茄?想多了
呼吸道感染导致的咽痛是一系列炎症反应综合作用的结果,其中最重要的两种炎症分子是前列腺素与缓激肽。它们会导致痛觉神经反应过度,连吞咽这样柔和的刺激也会带来明显的痛感。
对于这种咽痛,西红柿应该并没有什么特殊作用,网络说法的问题在于:①“维生素P”不是西红柿独有;②用它缓解疼痛证据不足。
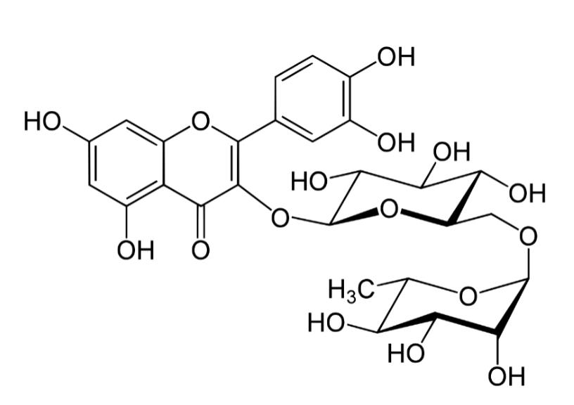
通过网传原文配图的结构式,可以知道这里所说的“维生素P”其实是芦丁(rutin),它是一种天然的黄酮苷。这种物质其实并不稀奇,荞麦、茶叶、樱桃、西蓝花、橙子、苹果等很多植物性食物都含有它。
需要说明,这不是一种受认可的维生素,“维生素P”也不是它正式的名字。
芦丁的分子结构 | wikipedia
确实有研究发现芦丁具有抗炎活性,也有动物实验显示它有望缓解炎症性疼痛,但这些用细胞和动物模型进行的实验并不能直接外推到人。而且,用较高剂量提纯芦丁进行的实验也不能外推到糖拌西红柿。
作为一种凉凉的、富含水分的食物,糖拌西红柿可能多少能让喉咙舒服些。不过,酸性食物确实也有一定刺激性,要不要吃还是以个人感受为准。
咽痛怎么办?
对于如何在家缓解咽痛,各大医疗机构的建议比较相似,大体有以下几点:
不过,有关咽痛非药物治疗的正式研究很少,这些做法其实也并不比吃西红柿证据更加确凿,挑适合自己的方式即可。
还能再给力点吗?
上面的建议虽然合理,但还是太普通了,还能再给力点吗?为了满足想要了解更多的读者,下面我再尝试进行一点补充。
如果咽痛严重,以上的这些方法都无法缓解,或者怀疑咽部有细菌感染,请一定要咨询医生,并在医生的指导下进行治疗。
参考文献
[1] https://pubmed.ncbi.nlm.nih.gov/30945072/
[2] https://www.mayoclinic.org/diseases-conditions/sore-throat/diagnosis-treatment/drc-20351640
[3] https://www.nhs.uk/conditions/sore-throat/
https://pubmed.ncbi.nlm.nih.gov/2243274
本文来自微信公众号 “果壳”(ID:Guokr42),作者:窗敲雨,36氪经授权发布。















