自家院子养的鸡蛋健康又卫生?实际含铅量是商品蛋的40倍
如果让你在一个超市里选鸡蛋,一盒鸡蛋上面标签上写着“土鸡蛋”,另一盒上面就是平平无奇的“新鲜鸡蛋”,我相信多数人都会选土鸡蛋。
在这一点上,全世界人民的选择都差不多。在澳洲,自家养蛋的热潮席卷全国,有超过416000个家庭选择在自家后院养“土鸡”产蛋。
(图片来源:hobbyfarms)
大家之所以选择自家养鸡产蛋,一部分原因是觉得在口味上,土鸡蛋更胜一筹,具体来说就是蛋黄比例、各种氨基酸和亚油酸含量会有略微的差别,但这种差别一般不会超过5%。
还有一部分原因是,有的澳洲人把鸡当做宠物来养,除了会随地大小便外,还顺带可以产蛋,所以蛋鸡也被称为实用主义宠物。
(图片来源:chickenguard)
另一方面就是觉得,土鸡蛋比饲料蛋更新鲜健康,毕竟什么东西都是自己饲喂的,信得过。但最近的一项研究可能会冲击到很多人的观点……
Tahereh Yazdanparast是悉尼麦觉理大学的科学家,他对院子里养鸡产蛋也很感兴趣,不过他更在意土鸡蛋的健康安全性问题。
(图片来源:redscout)
他找了55户后院养鸡的家庭,除了把它们产的蛋带回到实验室做研究,还对鸡的进行采样血样分析,看看里面的成分有没有被污染。
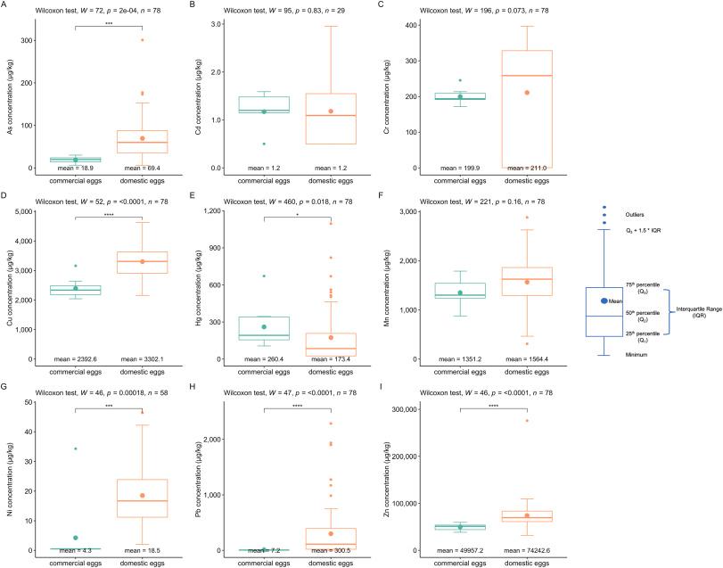
结果发现,带回实验室的61个鸡蛋里,大部分鸡蛋都有严重的重金属污染。有51% (35/69)的鸡蛋的铅浓度超过100μg/kg。
相比于商业生产的鸡蛋里,土鸡蛋各类重金属均有不同程度的超标 (图片来源:文献1)
而其他金属元素,砷、镉、铬、铜、汞、锰、镍和锌的含量也都超过了澳洲国标的污染物限量。其中铜、锰和锌超过了限量的69%,汞超标56%,铬超标49%,镉超标22%,砷超标14%。
如果拿商业养殖的鸡蛋作对比,自家后院的土鸡蛋的铅含量是前者的40倍以上。
既然蛋的重金属超标了,那鸡血自然也是重金属超标的。拿前面的铅举例,大于12个月龄的鸡的血铅含量74 μg/kg ±286 μg/kg。简单来说,在悉尼几乎每两只鸡就有一只鸡血液铅含量很高。
相比于商业生产的鸡蛋里,土鸡的血铅含量超标 (图片来源:文献1)
吃了铅污染的食品对人类的身体健康自然危害巨大。就拿铅来说,如果吃了含有铅污染的食物,且铅在体内开始出现富集。
研究显示,每天进食一个含铅量100 μg/kg左右的鸡蛋,会令儿童血铅含量增加少于1 μg/L。
即使接触低水平铅,也会随着时间的推移造成损害,特别是对儿童。最大的风险是影响脑发育,可能造成不可逆的损害。高铅水平会损害儿童和成人的肾脏和神经系统。极高的铅水平可能导致癫痫发作、意识丧失和死亡。
那为什么土鸡蛋的重金属超标这么严重?
答案在于后院的土壤环境被污染了。
(图片来源:Tahereh Yazdanparast)
科学家采集了55个家庭的后院土壤,发现均有不同程度土壤污染现象,即便院子里种了花花草草,看起来很接近大自然,给人一种天然的感觉。
悉尼市区重金属污染分布(图片来源:Tahereh Yazdanparast)
而且科学家发现,住房的时间越久,后院出现重金属污染的程度越高。因为在过去,涂料里多少都会含有铅,家里开车的话用的汽油里也会用到含铅汽油,即便现在环保些了,但这些重金属依旧会沉积到土壤里。
(图片来源:Tahereh Yazdanparast)
院子里养的鸡天天生活在重金属污染的环境里,去啄食地面上的东西,铅一类的重金属就会进入鸡身体里。
一般来说,商业蛋鸡养殖之前都需要做土地的重金属检测,只有通过标准,得到相关生产证明才能养殖。但自家养的哪会有这些检测,更不会对鸡蛋进行食品安全分析,毕竟只是自家人吃而已,又不拿出去卖。
因此,自家后院养的土鸡蛋其实相对于商业鸡蛋来说并不安全卫生。
参考资料
https://www.sciencedirect.com/science/article/pii/S0269749122010120?via%3Dihub#!
本文来自微信公众号“把科学带回家”(ID:steamforkids),作者:苏澄宇,36氪经授权发布。















