储能市场正在迎来大众化拐点
核心观点:
对于不同的场景,储能的需求会在安全性、稳定性、成本、能量转换效率、能量密度、循环寿命等方面略有不同。总的来说,储能要求成本低、安全性高,但能量密度可以比较低。
储能产业链自下而上可以分为终端应用-储能系统-组件-材料等阶段。终端应用场景上,供给侧(发电端)的客户主要为发电厂、电网和独立储能电站,需求侧的客户包括家庭户用、工商企业和5G基站等。储能形式多种多样,我们认为其中最值得关注的就是物理储能中的热熔盐储能和电化学储能中的磷酸铁锂电池和钒液流电池。电池主要由电芯、逆变器(也叫储能变流器)、电源管理系统和能量管理系统组成,其中电芯和逆变器占成本的80%。电芯对于材料非常敏感,主要由正极、负极、电解液和隔膜组成,材料决定了电芯的性能。
经测算,目前主流电化学储能的度电成本为0.31-0.39元/度,预计未来5-10年间将继续以每年7%左右的速度下降。配合光伏发电成本的下降,需求侧户用光储系统将于2023-2024年左右实现经济性,迎来大众化拐点。最终,预计到2025年和2030年,储能市场规模将分别达到170GWh和260GWh。
一、储能产业链分析
(资料来源: CNKI ,本翼资本整理)(资料来源: 中科海钠 ,本翼资本整理)(资料来源: 公开资料 ,本翼资本整理)(资料来源: 公开资料 ,本翼资本整理)(资料来源: CNESA ,本翼资本整理)(资料来源: Hydrogen Council ,本翼资本整理)(资料来源: CNESA ,本翼资本整理)(资料来源: 公开资料 ,本翼资本整理)(资料来源: CNESA ,本翼资本整理)(资料来源: 中国电力科学院 ,本翼资本整理)(资料来源: 公开资料 ,本翼资本整理)(资料来源: 工信部 ,本翼资本整理)(资料来源: Wind ,本翼资本整理)(资料来源: IEA,世界银行 ,本翼资本整理)(资料来源: Sunnova ,本翼资本整理)(资料来源: 北极星储能网,电力革新社,储能与电力市场 ,本翼资本整理)(资料来源: 政府网站 ,本翼资本整理)(资料来源: 东北证券研究所 ,本翼资本整理)(资料来源: 科陆电子 ,本翼资本整理)(资料来源: QE能源网 ,本翼资本整理)(资料来源: CNESA ,本翼资本整理)(资料来源: 公开资料 ,本翼资本整理)(资料来源: CNESA ,本翼资本整理)(资料来源: GWEC,IRENA ,本翼资本整理)(资料来源: 公开资料 ,本翼资本整理)(资料来源: 公开资料 ,本翼资本整理)图一:储能产业链简图
碳减排、能源安全等议题已经成为世界主要国家共同认可的方向,与之相伴的就是风能、太阳能等可再生新能源的更多应用,目前相关的发电成本已经大幅降低,预计将更多的取代化石能源,成为未来的主要能源形式。全球风光发电量从2016年的5.2%提升到2020年的9.6%,2025年预计会到16.5%。然而,由于这类可再生能源往往存在发电不稳定的问题,相比于火力发电,对于电网的压力更大,能源的利用效率更低,弃光弃风现象十分普遍。为此,发展能量存储产业,平抑新能源发电的波动性,就成了社会发展的必由之路。
(资料来源: GWEC,IRENA ,本翼资本整理)图二:全球风光发电量占比
(资料来源: CNESA ,本翼资本整理)图三:全球储能累计装机量
储能产业发展至今日,已经有了物理储能、化学储能、电化学储能等诸多可应用的储能形式,但无论是何种形式,区分储能产品与其他产品,尤其是例如储能电池与其他电池的核心就在于,储能产品的设计、生产重心是面向电力/能量系统的,必须以在能量过多时吸收多余能量并在能量过低时释放作为产品的应用。
对于不同的场景,储能的需求会在安全性、稳定性、成本、能量转换效率、能量密度、循环寿命等方面略有不同。总的来说,储能要求成本低、安全性高,所以广泛用于动力电池的三元锂电池在储能领域并不合适。但储能,尤其是大型固定式储能对于电池体积要求不高,因此相比于车用动力电车而言,能量密度可以比较低,材料性能要求略低。对于日内电网调峰调频的场景,需要电池快速响应、高效转换能量,因此转换效率要高、反应速度要快,但对于充放电深度和长期存储稳定性要求不高。对于长期电能转移,尤其是时间跨度达到月以上时,存储的稳定性就更为重要。如果想要完成异地电力调配,还需要便于运输且运输的成本、损耗低于现有的特高压输电。储能电池对能量密度要求较低。储能电池对于电池循环寿命有较高的要求,若储能电站和家用储能以每天一次的频率进行充放电,则循环寿命要求需大于3500次,提高放电频率后需达5000次以上。
以下将以从下游到上游的方式,介绍储能产业链的基本情况。
1.1 应用场景
(资料来源: 公开资料 ,本翼资本整理)表一:储能应用场景分类
1.1.1 供给侧应用——发电、电网、独立电站
这里的所谓供给侧,是指不去直接消费电力,而是通过生产、配送等方式提供电力以实现盈利的储能客户。其中主要包括发电厂和电网系统,一般会被细分为发电侧和电网侧分别分析。
(资料来源: CNESA ,本翼资本整理)图四:2020年国内新增电化学储能项目应用场景
对于新能源发电厂,尤其是风光发电厂来说,电力的生产是很不稳定的,不仅每天的出力情况都不尽相同,一天之内的不同时段出力情况也会存在巨大波动。电网的上网额度并非不可调整,但也绝不可能随着这种几乎具有极大随机性的出力方式进行调整,一方面,这会导致在出力高峰期,大量电力无法上网,只能舍弃,导致新能源发电的弃光弃风率长期居高不下,严重影响发电厂效益;另一方面,出力低谷期往往无法满足电网需求,不得不寻求更加稳定且易于调节的火力发电进行补充,也使得电网接纳新能源电力的成本上升,市场化条件下电网更偏好火电,阻碍了新能源的推广、限制了新能源电厂的市场规模。而且低谷期与高峰期之间的切换常常是非常快速的,容易在短时间内造成大量压力。在光伏和风力发电的度电成本不断下降之后,供电的波动性已经成为了制约新能源发电发展的最主要因素。
因此,对于风光发电厂而言,有必要配备相应的储能设备,在出力高峰期吸纳多余电能,减少弃光弃风率,在出力低谷期则释放储备的电能,满足电网的需求。除此之外,还可以通过适当的充放电控制实现平滑输出功率的效果。
(资料来源: QE能源网 ,本翼资本整理)图五:平滑输出示意图
而对于电网而言,随着新能源电力占比的长期上升,电网的稳定性愈发受到挑战。电网系统作为电力生产与电力消费的中转、输送、分配的枢纽环节,需要同时照顾发电端和消费端的需求。一般而言,终端电力需求会随着时间的变化发生巨幅波动,例如,在一年之中,夏季的用电需求一般远高于其他季节,在一天之中,白天的用电需求远高于夜晚。在火力发电时代,电网要想保证终端稳定供电,除了通过市场化定价、采用峰谷电价等方式鼓励用户均衡用电外,更重要的是与火力发电厂合作,及时调节电力上网量,减轻电网负荷。但新能源电力缺乏火电的灵活性,很难随时根据电网反馈调整发电量,而且本身的出力状态也很不稳定,随机性强的出力模式也无法与消费端吻合,使得电网调峰调频的压力骤增。低需求高出力的时候容易造成电力浪费,低出力高需求的时候则难以补足用电缺口,甚至产生大面积停电,除此之外,过高的波动性也会对电网的基础设施产生伤害,并增加运营难度,提高运营成本。
因此,在新能源发电占比不断上升的大趋势下,电网系统必须拥有足够的储能能力,才能减轻自身负荷,满足消费者需求。储能在电网侧的主要应用就是调峰调频。调峰是指为跟踪系统负荷的峰谷变化及可再生能源出力变化,并网主体根据调度指令进行的发用电功率调整或设备启停所提供的服务。调频是指电力系统频率偏离目标频率时,并网主体通过调速系统、自动发电控制等方式,调整有功出力减少频率偏差所提供的服务。我国电网的额定频率为50Hz,电网发电功率和负荷功率不匹配时会导致电网频率的改变。为了将频率稳定在50Hz 附近,需要进行调频。
(资料来源: 科陆电子 ,本翼资本整理)图六:调频示意图
然而,虽然无论是发电侧还是电网侧,都有着强烈的寻求储能系统配套的需求,但是现实中的供给侧储能的商业模式发展仍面临着不少问题。其核心便在于成本与收益的不匹配。目前的大型储能项目成本仍然不低,需要前期大量资本投入和之后持续运维,可是一旦项目完成,最终收益的将是整个电力产业链,发电侧或者电网侧任何一方独自承担项目建设,最后都会导致很大一部分投资收益被产业链上下游获得,自己反而吃了亏。因此,如果没有良好设计的收益分配机制,就会产生囚徒困境,使得任何一方都不愿意大量投资储能。
(资料来源: 东北证券研究所 ,本翼资本整理)图七:海内外储能成本传导机制对比
目前,由于还没有设计出成熟的分配机制,主流解决方案是通过政府法令,强制要求某一方——一般是发电厂,必须主动配置储能设备,从而强行打开储能市场,促进新能源发展。2021年7月发改委、能源局发布《关于加快推动新型储能发展的指导意见》,指出到2025年,装机规模达到30GW,新型储能从商业化初期向规模化发展转变。截至2021年底,全国已有21个省级行政区在全省或部分地区明确了新增新能源发电项目规制性配储能比例以及配储时长。3个省份出台鼓励配储政策。综合来看,平均配储比例约为10%,配储时长约为2h。其中,全省或部分地区要求配储的省份2021年风电光伏装机量达到全国风光装机量的81%,为储能装机量增加的主要来源。
不过,这种模式的增长,前景并不光明。一方面,仅将储能装机配额作为新能源发电项目并网条件,难以确保储能的建设质量,由于配建储能会导致项目初始投资成本明显增加,新能源企业可能更倾向于选择性能较差、初始成本较低的储能产品,而仅使储能作为可再生能源优先并网的工具;另一方面,由于受到配储容量与时长限制,其对电源侧企业本身的消纳问题作用较为有限,因此企业在实际运行过程中可能会选择更低成本的解决方案,如在部分时段弃电等。根据中国电力网,某弃风严重区域风电配套储能站,配置额定功率10%、4小时的储能前后,其弃风率分别为20.6%/ 19.7%,差别较小。上述情况下,传统“新能源+储能”模式不但难以达到促进风光消纳及调峰调频的目的,而且会显著加大可再生能源项目初始投资成本,根据中国电力网,一座光伏电站配建装机量20%、时长2小时的储能项目,其初始投资将增加8-10%;而风电场配建同样容量的储能项目,其初始投资成本将增加15%-20%。因此,目前的政策驱动模式面临一定困境,发展压力较大。
(资料来源: 政府网站 ,本翼资本整理)表二:2021年各省市发电配储政策
所以,另一种供给侧储能商业模式显得更值得关注——大型独立储能电站。也就是通过单独建立一个储能电站(无论出资方是谁),独立于电网或发电站运营,追求的是项目本身的盈利。这种电站直接接入电力系统,通过提供调峰调频等电力辅助服务或直接利用电力系统现有的峰谷电价形成机制,在电力过剩的时段(谷段)以较低的价格从电网购电并存储起来,在电力不足的时段(峰段)则以较高的价格卖还给电网,从而实现盈利。除了直接运营储能电站盈利,还可以将自己的储能容量出租给发电厂以满足政策要求,既开发了新的业务,又减轻了发电厂自建储能电站的成本(若以15%配储比例来算,租赁可以节约23%的总投资),还提高了储能设备的综合质量。独立储能电站业务更加多元,可以同时服务发电侧和电网侧,以市场化方式分配收益和成本,实际操作中还可以多方共同投资,有助于解决目前供给侧储能在商业模式上的困难。
电池及储能系统为储能电站成本核心。储能电站投资主要包括设备购置费、安装工程费、建筑工程费、其他费用、基本预备费等,对于锂电池电化学储能,根据云南省能源研究院数据,项目设备购置费约占87%,电缆及接地等材料购置费和安装工程费分别约占1%,建筑工程费约占4%,其他费用和基本预备费约占7%。根据市场现有测算,纯粹的电力辅助服务业务不足以支撑储能电站运营,但采用电力现货交易模式就可以获得初步的经济性,如果能将容量租赁模式也整合进来,就可以具备较强的投资价值。
(资料来源: 北极星储能网,电力革新社,储能与电力市场 ,本翼资本整理)表三:不同模式下独立储能电站收益水平
1.1.2 需求侧——户用、工商、5G
这里的需求侧是指从电网购买电力并用于自行消费的客户。主要包括以家庭为单位的户用储能和以企业为单位的工商业储能。与供给侧的企业不同,如果是传统的完全依赖电网电力的需求侧客户,不需要承担平抑电网负荷的任务,完全是量出为入,不以调峰调频为目的,主要目标是节约用电成本和作为备用电源预防突然停电,其市场相对狭小,且以传统铅蓄电池为主。
然而,光伏产业的大发展带来了新机遇,廉价的小规模光伏发电系统可以被直接安装在家庭住户或者企业厂房的房顶,通过自主发电替代从电网获取电力,从而减少长期用电成本。最开始的户用/工商业光伏是各国政府推广新能源应用的重要场景,在光伏度电成本还不够低的时候,通过高价全额上网的政策补贴吸引住户安装光伏,此时的上网电价高于电网电价,因此大家主要以卖电为盈利。但随着补贴的退潮,户用光伏将更多用于家庭/企业自用,通过减少购电来降低成本。一旦将光伏发电用于自用,光电的不稳定性就成了必须要解决的问题,对于储能的需求也就随之打开。
(资料来源: Sunnova ,本翼资本整理)图八:户用光储系统对传统电网供电的取代进程
光储设备的商业模式具有明显的区域性。欧美日发达国家预计将会是家庭户用光储的主要市场,这一方面是因为当地中产居民大量居住在独立寓所中,具备单独的屋顶,为安装光储系统提供了前提条件,而中国的相关条件大多只存在于农村地区;另一方面,与中国不同,欧美日的电力基础设施大多于上世纪六七十年代完成建设,距今已有半个世纪,由于长期缺乏基建改良投资,老化严重,断电等现象越发频繁,且电力市场化程度非常高,电价普遍高于国内,民用电尤其昂贵,使得当地家庭有着强烈的安装独立光储以预防停电、削减电价的需求动机。而在中国市场,由于存在工商业用电交叉补贴居民用电的机制,导致工商业用电成本反而高于居民,使得工商业光储前景反而更加广阔。
(资料来源: IEA,世界银行 ,本翼资本整理)图九:各地区2018年人均居民用电量(kwh)
需求侧储能的一大特点是竞争格局的分散性。供给侧储能的需求相对单一,追求极致的性价比,很容易形成较高的市场集中度。但需求侧市场具备更多的消费品属性,除了性价比,外观、服务、品牌、智能化程度等等都会影响到产品竞争力,因此存在差异化竞争的空间,市场格局较为分散。需求侧储能产品由于接近消费者,往往还需要分散给地区性的经销商/安装商,才能触及到每一个消费者,因此带来了新的市场环节,其最终的商业模式预计将会和一般的家具、家电类似。同样是基于消费品属性,需求侧储能的另一大特点就是毛利率相对较高,不需要像工业储能那样维持价格战。根据WoodMackenzie发布的《2019年全球光伏逆变器市场份额和出货量趋势报告》,户用储能变流器市场占比超15%,全球排名第一的固德威,公司储能产品多销往国外,毛利率显著优于同业约10~30pct。
(资料来源: Wind ,本翼资本整理)图十:固德威储能变流器毛利率显著优于同业
除光储以外,另一个值得关注的爆发点在于5G通讯。能耗方面,5G基站的峰值功率在4G基站的3-4倍之间,对于电力的需求大幅提升。另一方面,在2G、3G、4G时代,站点电源以被动响应为主,缺乏主动规划,容易导致资源浪费。在更高的电力需求之下,如何提升5G基站的系统运行效率、减少资源浪费成为5G建设的重点,在5G基站中安装储能设备变得具有经济性。随着5G时代的到来,这一需求也将助力储能市场发展。假设充电时长为4小时,储能电站往往需要保证4小时的应急能源供应。5G峰值功耗以每年0.3KW的速度下降。根据项目数据统计,尽管能耗比更高,5G基站峰值功率往往大于4KW,预期随着未来基站数量提升以及技术迭代,单个基站的能耗有望降低至2KW左右。与之对应单个基站容量也等比下降。2023年每万人享18个5G基站,2025年每万人享26个(工信部预期数据)。以上假设下,预计2022-2025年的装机量分别为8.84,8.93,6.27,5.60GWh。
(资料来源: 工信部 ,本翼资本整理)表四:基站功耗对比
1.2 储能形式
(资料来源: 公开资料 ,本翼资本整理)表五:不同储能形式参数汇总
(资料来源: 中国电力科学院 ,本翼资本整理)图十一:不同储能形式技术成熟度
1.2.1 物理储能
物理储能是指将电能转化为重力势能、动能、内能、电磁能等易于存储的能量形式并储存起来,包括抽水蓄能、飞轮储能、压缩空气储能、电容储能、超导储能、熔融盐储能等。物理储能花样繁多,但总体而言其应用均受到一定的限制,虽然在特定的生态位可以拥有巨大的优势,但泛用性差,难以成为储能产业爆发的弄潮儿。
抽水蓄能是目前最成熟的物理储能技术,在电力充沛时驱动电机将水抬升至高处,以重力势能的形式存储,需要放电时则放水发电。抽水蓄能技术原理简单,成本非常低,是目前最主流的储能形式,截至2020年底抽水蓄能累计装机规模为31.8GW,占到90%左右的储能装机存量。然而,抽水蓄能非常依赖合适的地形,发展潜力较小,近几年来随着锂电池储能的兴起,抽水蓄能的市场占比不断下降,预计未来多年将继续维持下降趋势,将第一宝座让给电化学储能。
(资料来源: CNESA ,本翼资本整理)图十二:2020年全球储能市场按功率划分
除抽水蓄能外的大部分物理储能均存在较严重的应用难题,不是技术不成熟就是成本过高,抑或应用场景受限。以下只做简单介绍。机械能存储还包括通过高速旋转的飞轮的动能储能的飞轮储能(寿命长、效率高,但能量密度太低,只能持续几秒几分钟)、通过压缩空气储存并膨胀燃烧以释放能量的压缩空气储能(适合风场,可削峰填谷,但能选择的合适地点非常有限);电磁能储能包括使用特殊的超级电容直接储存电能的超级电容储能(寿命长,循环次数多,响应速度快,但是电介质耐压很低,储存能量较少,投资成本高)、在磁场超导线圈中直接循环流动存储电能的超导存储(功率密度高,响应速度极快,但原材料价格昂贵,维持低温制冷运行需要大量能量)等。长期来看,其中不乏可能的潜力股,但大部分在未来五年内预计很难获得长足发展。
在物理储能中,未来3-5年最有发展潜力的是熔融盐储能。熔融盐储能通过特定的熔盐材料(是一种低成本、长寿命、传热储热性能好的高温高热通量和低运行压力的介质,在储热中使用的熔盐通常是硝酸盐混合物,如光热电站中使用的熔盐就是硝酸钠和硝酸钾的混合物)吸收多余的电能和热能,通过固体熔化的方式,以热能的形式存储能量,在需要释放能量的时候,既可以通过加热箱水带动轮机转动的方式产生电力,也可以直接将热水用于北方城市的冬日供暖,实现能量高效利用。熔融盐虽然仍处于商业化早期,且在大部分场景下对比电化学储能并不具备优势,但却能牢牢占据热能存储的生态位,在供给侧的光热发电站和需求侧的辅助供暖服务方面均有着特别的优势,值得投资者关注。
(资料来源: 公开资料 ,本翼资本整理)图十三:熔盐储能应用示意图
1.2.2 氢能
除物理储能外,化学储能也是一种重要的储能形式,其中,最具发展潜力的当然就是氢储能。凭借其超高的高能量密度、广泛的适用性、环境友好的特点以及在长时间跨度/异地储放市场的巨大潜力,氢能已经成为了目前最受关注的储能方式之一。氢储能在技术上将多余的电力通过电解水等方式(但目前主要制氢方式仍为化石能源制氢)用于生产氢气,从而极大程度上避免了大部分储能都要面对的自放电问题,非常适合长期储能。氢气作为实体物质,相比于电力,其运输损耗也大大降低,有望成为一个异地能量传输的新思路。
不过,氢储能的发展也面临着许多制约。氢气的能量密度极高,这在动力氢燃料电池的续航能力等方面是重要优势,但对于储能来说,能量密度并不是最重要的指标,大部分储能场景可以容忍更大的体积,但对于成本和安全性要求更高,而这恰恰是氢储能的劣势所在。
第一,氢气的物理性质导致其几乎不会产生自放电问题,但氢气的能量转换效率非常低,只有20%-45%,而一般的电化学储能基本都能达到70%的效率,这就导致其不可能被用于日内快速调峰调频。
(资料来源: CNESA ,本翼资本整理)表六:氢储能与电化学储能对比
第二,目前氢气的制备、储存和运输仍然令人头疼。电解水成本居高不下,而氢气本身化学性质不稳定,分子尺寸又小,非常容易出现爆炸、泄露、腐蚀等问题,为了保障安全,必须采用更高规格的保障措施,进一步增加成本。
(资料来源: Hydrogen Council ,本翼资本整理)图十四:2030年不同形式液态氢气储运成本展望(USD/kg)
第三,氢气的制储运用体系与现有的电力系统不兼容,需要单独重新建立。虽然可以将部分油气体系的设备、管道、加油站等改造为氢气系统,但总体上相比于其他储能形式,投资成本还是要高很多。但如果作为纯粹的存储物质,不发展全面的氢能产业,那么相比于其他储能形式就没有特殊优势了,市场更加狭小。
综上所述,氢气产业具有广阔的前景,但在储能方面还有许多的制约,我们预计未来3-5年内很难成为主流形式。
1.2.3 电化学储能——磷酸铁锂、液流、钠
电化学储能也就是我们熟悉的电池储能。从广义上讲,所有二次电池,也就是可以充电的电池,都可以被划为储能电池。但是在一般的语境中,我们一般只用储能电池的狭义含义,即面向电力系统的、以在电力过多时吸收电能在电力不足时放出作为主要功能的电池。目前,电化学储能是抽水蓄能之外最成熟、最实用的储能路线,最主流的技术就是锂电池,除此之外备受关注、快速发展的还有钠硫电池、液流电池等。规模效应以及工艺技术提升带来电化学储能系统成本不断下降,20-25年每瓦时总成本有望下降1/3,这是电化学储能近几年爆发式增长的主要原因。
锂电池是目前发展最成熟、综合成本最低的新兴电池路线。与传统的铅蓄电池相比,锂电池不会产生大量污染,能量密度大、转换效率高、循环寿命长,随着过去十年锂电池成本的不断下降,锂电池在近几年迎来大爆发,其在储能领域的应用也快速增长放量,近年来的储能装机增量90%以上都是锂电池储能。如今的锂电池技术路线可以细分为三元锂电池、磷酸铁锂电池、钴酸锂电池等等,其中,三元锂电池工作效率最高、能量密度最大,被广泛用于动力电池、消费电池等领域,但对于储能来说,三元锂的安全性一直无法得到妥善解决,因此,性能上仅次于三元锂但更加安可靠的磷酸铁锂成为了锂电池储能的主流路线。
(资料来源: CNESA ,本翼资本整理)图十五:全球电化学储能类型占比
然而,锂电池储能产业的发展也并非一帆风顺。
第一,随着需求不断增加,上游材料的价格也在飙升,碳酸锂价格已经突破45 万元/吨。上游锂矿环节供应比较刚性,预计供给增量较小,目前澳洲锂矿占供给侧的55%,当前在产的主要澳矿项目的扩产计划均出现暂停,根据企业投资建设进度,预计2023年之前无新增产能投放,另外,中澳关系紧张对锂矿石的供应也存在不确定因素。南美盐湖占比26%,受新冠疫情和资本支出减少的双重影响,南美盐湖提锂企业的扩产项目出现不同程度推迟,整体来看锂的供给端不确定的因素较多。当前主要增量都是中国企业,但是本身盐湖基本还是比较小,短期增长比较有限,抑制了锂电池成本的下降空间,市场翘首以盼期待钠离子电池等新技术可以降低成本;
(资料来源: 公开资料 ,本翼资本整理)图十六:电池原材料价格走势
第二,锂电池的储能稳定性不足,一般只能用于日内调峰调频,如果需要长时段能量转移,尤其是月度以上储能,必须开发新的技术;
第三,即使是磷酸铁锂,其安全性也一样堪忧,且储能电站起火的规模和损失往往要远大于新能源汽车起火,据不完全统计,2017年至今全球储能电站项目至少发生了45起火灾事故,造成大量人员和财产损失。因此,一方面,政策会对锂电池储能进行一定的限制,2022年6月发布的《防止电力生产事故的二十五项重点要求(2022 年版)(征求意见稿)》就提到“中大型电化学储能电站不得选用三元锂电池、钠硫电池,不宜选用梯次利用动力电池;选用梯次利用动力电池时,应进行一致性筛选并结合溯源数据进行安全评估”;另一方面,即使采用锂电池储能,往往也需要专门消防、温控公司进行监控维护,增加了成本。
(资料来源: 公开资料 ,本翼资本整理)图十七:储能电站与电动汽车消防安全对比
总的来说,锂电池储能的潜力已经基本开发,进入了完全商业化阶段,仍将是未来3-5年内最有竞争力、增长幅度最大的储能形式。但其无法解决储能产业的所有问题,这也给其他技术路线的储能电池发展的空间。
钠电池在技术原理上与锂电池几乎如出一辙。钠离子电池与锂离子电池同属摇椅式电池(Rocking Chair Battery),技术的重难点集中于正极、负极材料。从化学性质上讲,钠与锂都是Ⅰ族碱金属元素,性质总体类似但略有差异。其一,钠离子离子半径大于锂离子,这使其更难嵌入/脱出层状正负极材料。在常见的层状金属氧化物材料中,钠离子只能嵌入八面体空隙,而锂离子可以同时嵌入四面体和八面体间隙,这使得钠离子正极材料在能量密度方面有所欠缺;同时钠离子难以嵌入负极石墨片层间,使得钠离子电池需要采用其他负极材料。其二,钠离子第一电离能更低,这使得钠离子更稳定,在低温下不易析出枝晶,为钠离子电池带来更加优异的安全性、稳定性与低温性能。其三,钠离子摩尔电导率更高,使钠离子电池所需电解液浓度更低,对添加剂要求更低,钠离子电池电化学性能也略优于锂离子电池。
起初,钠离子电池和锂电池是齐头并进的技术路线,并没有明确的优劣,然而,或许正是因为如此,二者的生态位其实非常相似,锂电池的抢先一步使得其在之后的发展中步步领先,反过来又压制了市场对钠离子电池的投入,结果形成了现在锂电池放量爆发,钠电池却仍在商业化早期的状态。不过,锂电池的过分火爆反而给了钠电池新的机会,正是上游原材料的推高促使电池企业有动机转向开发新的更便宜的技术路线。钠电池在性能上与锂电池非常接近,而钠元素在地球上极为丰富,成本远低于锂矿,如果产业链成熟,完全有可能作为锂电池的替代,因而虽然由于循环寿命上的劣势综合成本仍有下降空间,但已经成为了目前各家争相开发的香饽饽。中科院物理所研究表明,当钠电池产业链成熟、规模生产后,钠离子电池成本可以做到比磷酸铁锂电池低30%。由于与锂离子电池类似的生产线和制作工序,英国 FARADION 公司表明甚至能实现在现有锂离子电池生产线上进行钠离子电池生产的可能。
不过,成也萧何败也萧何,我们认为,正是因为钠电池与锂电池的替代性太强,在安全性、稳定性等方面并不能带来突破,最明确的优势只有材料成本比较低,这反而限制了其长远发展。因为锂矿这样的的全球原料价格随时可能随上游产能和下游需求而波动,而钠电池本身的发展还会反向压低锂矿价格,考虑到钠电池目前的工艺成本仍然较高,一旦原料价格优势不再明显,市场可能更愿意选择各方面都已经产业化非常成熟的锂电池,而非大范围改用钠电池。
(资料来源: 中科海钠 ,本翼资本整理)图十八:钠电子与锂电池成本对比
以钒电池为代表的金属液流电池被誉为“专为储能而生的电池”。无论钠电池还是锂电池,在绝大部分性能指标上都能强过传统铅蓄电池,但唯独在长期稳定储能上存在先天劣势。这就导致钠电池和锂电池基本只能用于日内调峰调频的工作,跨长时间周期的储能则容易出现效率损失。另外,锂电池的安全性一直是老大难,如果不能妥善解决,会严重制约储能发展。但钒等液流电池却很好的解决了安全性和稳定性的问题。一般的液流电池的循环寿命可以达到12000-14000次,而现有的锂电池最多只有10000次左右;液流电池的自放电效应非常弱,长期存储的稳定性强,可以用于月度及以上的时间分配;稳定性同时也体现为安全性,出现火灾等的概率远远低于锂电池和钠电池。此外,钒电池利用钒离子在不同氧化态下的不同化学势能保存能量,具有充放电效率高、容量可以随着贮液罐的增加而提高、电解液可以循环使用等优点。
(资料来源: CNKI ,本翼资本整理)图十九:钒电池工作原理
当然,液流电池也并非完美的上位替代,并不能占据全部储能市场。液流电池的能量密度很低,只有20-70wh/L,远低于锂电池的200-400wh/L,结果是要想大规模储能就必须忍受巨大的体积,不过,对于储能,尤其是工业级储能来说,体积往往是不那么重要的指标。液流电池的另一大劣势是能量转换效率较低,目前只达到85%左右,且放电时长达到小时级,这显然无法满足日内调峰调频所需要的高频次充放电要求,不过,液流电池可以实现深度充放电而不损害电池寿命、性能,因此非常适合长期大量存储。液流电池的综合建设成本现在仍然很高,但已经有了明确的降成本路径,且一旦完成建设,继续添加电芯进行扩容的边际成本很低。总的来说,液流电池在中长时间跨度储能中有着广阔的前景,未来将与锂电池等共同组成电化学储能的版图,不过其目前仍需解决成本问题,预计全面爆发还需要数年时间。
1.3 电池构成
1.3.1 电芯——正极、负极、电解液、隔膜
储能电池在原理上与一般的电池没有什么区别,由电芯模组、逆变器PCS、电池管理系统BMS和能量管理系统EMS等组成,其中,电芯以及电芯模组是储能电池的核心部分,是吸收、释放电能的关键工作部位,也是一般电池系统中成本占比最大的地方,可以达到60%-67%左右。如果是一般语境中,电芯甚至可以直接指代电池。所有类型的电芯的结构都包括正极、负极、电解液和隔膜这四个主要组成部分,不过不同类型的电池除了所用材料不同外,有时也会在结构上有一定的附加改造。
(资料来源: 前瞻产业研究院 ,本翼资本整理)图二十:锂电池成本构成
正极材料是电池成本中占比最大的部分,一般占到40%左右。电芯的工作原理就是通过正负极之间产生电势差,使得电子在二者之间流动,进而产生电流。其中,正极就是负责在放电过程中接受电子、在充电过程中释放电子。
不同电池的正极材料有所不同,例如,锂离子电池正极材料可以有钴酸锂、锰酸锂、三元锂、磷酸铁锂等。前两者在综合性能上不及后两者,正在慢慢从市场上退出,三元锂能量密度高、转换效率高,是目前动力电池和消费电池的主要正极材料,而磷酸铁锂相对更加安全稳定,是目前电化学储能的主力军。
(资料来源: CNKI ,本翼资本整理)表七:不同正极材料对比
目前正在探索的钠离子的正极材料主要有层状过渡金属氧化物(包括 NaFeO2 等 O3 构型材料, Na2/3MnO2 等 P2 构型材料,以及具有更复杂构型的混合材料)、聚阴离子型化合物(Na4MnV(PO4)3等 NASICON 型材料,以及 Na3(VOPO4)2F 等氟磷酸盐型材料)、普鲁士蓝化合物(主要包括普鲁士蓝、铁基/锰基普鲁士白等)三大路线,从性能角度来看,普鲁士蓝类似物和层状氧化物的理论能量密度更高;从成本看,层状氧化物材料价格最为低廉。其余几类材料中,隧道型氧化物、非晶态化合物理论能量密度较低,实用性差;有机正极如 Na2C6O6,其能量密度很高,但工作电压很低,阻碍了进一步的发展和应用。
与正极材料不同,负极材料往往不是主动收放电子的那一方,只要保证电子、离子的流动顺畅就可以,所以一般电池都会选用碳基材料如石墨等作为负极,这也是负极成本低于正极,只占总成本10%左右的重要原因。对于钠电池来说,碳基材料中,锂离子电池常用的石墨材料无法有效嵌入钠离子,改进的石墨材料尚处实验室研究阶段,暂未得到应用;目前主流的碳基负极材料主要为各类硬碳材料,其价格、性能与锂离子电池的石墨负极基本相当。
为保持离子平衡,当电子在正负极之间流动时,必须相应保证正负离子的流动,这就需要使用融有相应离子的电解液作为离子转移的中介,而隔膜就是在这一过程中筛选特定离子,防止出现损害电池持续工作能力的情况。二者分别占到总成本的15%。锂电池电解液包括有传统锂盐和新型锂盐两种,传统锂盐就是指六氟磷酸锂,目前也是占据主流市场地位,新型锂盐包括有双氟磺酰亚胺锂(LiFSi)、四氟硼酸锂等,LiFSi市场关注度较高。钒电池是通过钒化合价的变化来实现电能与化学能之间的转化。正、负极电解液分别由V4+/V5+和V2+/V3+电对的硫酸溶液组成,充电时正极电解液中发生V4+向V5+转化,负极电解液中V3+向V2+转化,同时伴随着氢离子的生成不过,电解液未必一定要是液态的,许多电池也会使用固态电解质作为离子传输中介。
1.3.2 逆变器
储能变流器PCS是连接于储能电池和交流电网之间的电力转换设备,也可以称为逆变器。其主要功能是实现直流电与交流电的转换。由于电池的充放电都必须是直流电,但是电网系统所使用大多数交流电,绝大部分家用电器等也是以交流电为标准进行设计,因此无论是工业储能还是户用储能,都必须解决直流电和交流电的转换问题,也就是必须安装逆变器。而且,由于储能电池需要不断充电放电,所以必须能够双向变流。除此之外,PCS还承担着在电网和储能系统间精确快速地调节电压、频率、功率,实现恒功率恒流充放电以及平滑波动性电源输出的任务。因此,虽然逆变器的成本在储能电池总成本中只占10%-20%,但却是必不可少的一部分。
(资料来源: 前瞻产业研究院 ,本翼资本整理)图二十一:储能系统成本来源
虽然仍存在一定的差别,但总体上看,储能逆变器在原理上与现在已经广为人知的光伏逆变器、充电桩逆变器等没有本质区别,因此,目前储能逆变器市场的龙头基本也是光伏逆变器的老玩家,如阳光电源、固德威、锦浪科技等。值得注意的是,逆变器的技术门槛不算很高,因此哪怕是新玩家,只要拥有足够的品牌效应和销售渠道,就可以在短期内通过堆积资源快速实现扩张。
1.3.3 电池管理系统、能量管理系统与电池系统集成
除了电芯和逆变器这两个重要的硬件,储能电池还必须包括电池管理系统BMS和能量管理系统EMS这两个更偏向于软件的部分进行电池运行的检测、控制等。前者主要针对电芯的运行状态,负责电池的监测、保护以及均衡,而后者更多针对储能电池整体,起到数据采集、网络监控、能量调度的作用。
(资料来源: 派能科技招股说明书 ,本翼资本整理)图二十二:电化学储能系统构成
BMS系统的另一个重要功能就是与热失控预警联动,在电池发生热失控时切断电源,如果模组内部发生火灾会触发灭火系统并进行pack级别灭火,阻止火灾进一步蔓延。
除了配件以外,储能电池的系统集成也是一个独立的市场业务。储能系统集成企业需要具有丰富的项目实践经验和多样的技术储备,根据储能不同的终端应用场景、不同客户需求设计出相应的储能系统,即根据特定需求将适合的电池、BMS、PCS、EMS 等各个组件和软件集成为一个整体,保证其在特定的工况下稳定、高效运行。业务广泛且复杂,其中涉及电化学、电力电子、IT 技术、电网调度等多个领域。国内装机规模排名靠前的储能系统集成商中,除阳光电源和海博思创外,主要是来自电力行业的企业。储能系统集成商可以简单分成以下几类:(1)来自电池企业,包括宁德时代、比亚迪、特斯拉等,他们的优势在于有丰富的电池设计、制造经验,能够制造出合适的电池组和相应的 BMS 系统,一体化有效降本;(2)来自光伏行业,包括阳光电源等,他们优势在于将其在光伏行业积累的经验、建立的销售、服务体系迁移到储能系统,便于业务拓展;(3)来自电力行业,如南瑞、中天、许继等,他们的优势是更加了解电网运行特点;(4)专注储能系统集成的企业,如派能科技、海博思创等,这类企业的优势是拥有丰富的产品与项目实施经验、成熟的开发方案。
二、市场空间分析
2.1 储能成本演进
2.1.1 储能成本来源-目前度电成本测算
经过上文技术路线分析,未来至少十年内,电化学储能仍将是储能发展的主要方向,因此以下测算成本专注于电化学储能的成本。
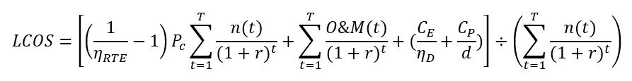
度电成本测算原理可以简单概括为:度电成本=全寿命总成本/总存储电量=(使用中电力损耗成本+运维成本+装机成本)/循环次数*单次电量。参考美国能源部储能项目招标说明书中披露的储能度电成本计算公式:
在具体取值上,值得注意的是电价。电价一方面各地差异巨大,另一方面,目前储能系统的主要应用是为了配套提高光伏、风电等的使用效率,出力过高时的电倘若不去存储,就直接浪费,可以认为机会成本为0,因此在电价p上选择0为值。
(资料来源: 本翼资本整理, 注:2021年来国内储能电站价格大减,被怀疑是否具备可持续性,因此实际度电成本可能比测算的更高 )表八:测算结果
2.1.2 储能降本速度
可以看出,考虑到中国的光伏发电度电成本在2019年已降至0.36元/度,且还在继续下降,目前国内部分电化学储能项目的效益并不明显,成本仍需进一步下降。国家发改委发布的《“十四五”新型储能发展实施方案》强调,到2025年,电化学储能技术性能进一步提升,系统成本降低30%以上。
储能系统的成本中,建安、土地等成本难有下降空间,但是占比最大的电池(60%)和逆变器(20%)仍在技术快速发展的过程中。因此,简化来看,储能成本的下降路径就是电池和逆变器的下降路径。
电池方面,钒液流和钠电池的技术尚不完全成熟,其成本距离爆发尚有一定距离,因此应当更多关注锂电池,尤其是磷酸铁锂电池的价格。根据bloomberg,2017年开始至2020年,储能电池的成本下降速度为每年复合12%。然而,由于近年来新能源汽车的大爆发,连带着动力电池及其上有材料价格的暴涨,反过来掣肘了储能电池的价格下跌,2021年末以来中国电池价格就上涨了60%。7月15日公告的中国铁塔2022-2023年备电用磷酸铁锂电池集中招标情况,中标报价最低为0.84元/wh,最高0.97元/wh,均价0.875元/wh。材料价格波动导致的成本不确定性也成了不能逐年预测的主要原因,虽然我们预计五年时间足以平抑大部分材料波动,但保守起见,还是下调成本下降速度预期,最终预计到2025年,储能电池成本有希望再下降约30%,CAGR为7%。
(资料来源: 公开资料 ,本翼资本整理)图二十三:近两年锂电池价格上涨
(资料来源: 北极星储能网 ,本翼资本整理)图二十四:磷酸铁锂电池集采单价(元/wh)
逆变器领域,过去十年由于技术的快速进步以及平价上网的要求,光伏产品的价格急速下降。数据显示,从2008年到2018年十年间逆变器价格从2元/W降到了0.2元/W,降幅达90%。光伏逆变器与储能逆变器虽然略有不同,但是原理上完全一致,如果延续同样的速度,到2025年,逆变器单价将降至0.11元/W,降幅达45%。
(资料来源: 公开资料 ,本翼资本整理)图二十五:逆变器平均单价(元/W)
当然,以上成本测算均是以中国情况进行分析测算,海外一般相关成本要高于国内,若以美国为例,换算成人民币(汇率取6.75)储能度电成本为0.5636元/度(EIA数据),约是中国的1.4-1.8倍;2020年电池成本1.08元/wh,高出国内约40%-50%;逆变器成本,尤其是分布式逆变器成本,近年来与国内差距缩小,但仍维持在1.5-2倍区间。但这不影响储能综合成本的下降速度,我们可以假设全球度电成本下降速度基本一致。那么,到2025年,储能系统单价至少将下降30%,达到910-1355元/度。可以算出度电成本将降至0.2174-0.2759元/度。如果这一趋势持续下去,到2030年,度电成本将降至0.15-0.19元/度,CAGR为7%左右。
2.2 储能市场空间
2.2.1 爆发点
储能系统是新能源发电必备的配套产品,目前的出力不稳定问题还可以由火力系统调节,但随着全球减排和能源安全目标的推进,储能将是所以新能源系统的标配。问题的关键在于,附带了储能成本的新能源系统,尤其是被寄予厚望的分布式光储系统,何时能够实现真正的经济性,从而达到光储系统从电厂走向用户、从小众走向大众。
我们的报告不考虑政策的影响,单看具备市场是否具备足够的经济性。因此,判断爆发点主要看储能度电成本是否足够低。国内与海外的储能度电成本相差很大,但是由于国内光伏/风电度电成本和市场电价同样大幅低于海外,因此预计在市场爆发点的度量上不会产生根本性影响。
如果不考虑补贴,那么对于需求侧户用光储而言,决定经济性的核心逻辑在于安装光储系统之后,自发的度电成本必须小于能够从电网买到的电价,否则,就没有必要费力安装光储系统。而户用光储的度电成本可以被分解为两个部分:光伏发电度电成本+储能度电成本,因此,光储经济性的拐点条件就可以简单表达为:储能度电成本<市场电价-需求侧光伏度电成本。
今天的中国各地电价标准不同,且基本都实行阶梯电价,居民电价0.52-0.62元/度,工商业电价0.86-1.8元/度,根据中国发展网数据,2019年中国居民综合电价为0.542元/度,综合用电单价为0.663元/度。而根据中国光伏协会和工信部发布的《2021年中国光伏产业发展路线图》,分布式光伏的度电成本与集中式光伏相差并不大,LCOE最高0.33元/kwh。也就是说,要迎来需求侧储能大众化拐点,储能度电成本需小于0.333元/度,这在目前仍是做不到的。
图二十六:各地区居民/非居民电价对比(USD/kwh)
(资料来源: Global Petrol Prices ,本翼资本整理)
但是,五年以后,不仅储能度电成本预计将下降30%,光伏的技术发展也不会停滞,未来5年其发电度电成本同样会大幅降低。过去40年,光伏度电成本降幅达到99.6%,如果拉开长时间轴可以发现,光伏似乎也存在类似摩尔定律的线性发展规律:平均每3-5年,光伏度电成本下降一半,同时光伏装机量扩大十倍。根据IRENA的统计数据,过去五年,集中式光伏发电度电成本下降了50%左右。若未来继续按照这一速度下降,考虑到中国2021年的分布式光伏度电成本约为0.33元/度,那么到2025年,光伏度电成本将达到0.18元/度。
(资料来源: IRENA ,本翼资本整理)图二十七:全球可再生能源LCOE趋势(USD/kwh)
随着光伏度电和储能度电的进一步减少,如果我们假设综合电价基本不变,则到2025年,储能度电成本只需小于0.483元/度就足以达到经济性,而到这时候,储能度电成本将降至0.28元/度以下,此时,需求侧储能的经济性非常明显,预计将迎来大爆发。其实,或许根本不用等到25年,如果假设成本的下降是逐年线性下降,那么实际上,到2023年经济性就能实现。
2.2.2 空间
供给侧的储能需求将主要源于发电厂和电网等环节为适应新能源电力的不稳定性所产生的刚需,如调峰调频等能源处理工作,这种需求始终存在,并将随着风光发电的装机量增长显著增长。
2021年全球光伏装机175GW,累计装机942GW,占全球发电总量的5%。根据市场预测,未来五到十年每年新增光伏装机量仍将继续攀升,到2025年时达到325GW以上,到2030年时,预计达到360GW以上。同时,2021年全球风电累计装机量837GW,根据市场预测,未来每年装机量将达到100GW以上,预计到2025年,新增装机量达到120GW,如果继续按照这一速度,预计到2030年可以达到190GW以上。如果只考虑日内调峰调频的功能,以10%、2h标准进行配储,则储能潜在市场规模到2025年将达到91GWh,到2030年达到110GWh以上。
(资料来源: CPIA ,本翼资本整理)图二十八:全球新增光伏规模(GW)
(资料来源: 公开资料 ,本翼资本整理)图二十九:全球风电新增装机规模
需求侧储能主要应用于拥有独立/半独立住宅的家庭住户、拥有独立厂房的工商企业和5G基站,其中最主要的就是户用储能,配合户用分布式光伏而使用,目的主要是降低综合用电成本。根据前文测算,未来五年光储系统即将迈过从小众到大众化的拐点,需求侧预计将迎来成本经济性的时刻,爆发在即,但具体的爆发速度、渗透率等还难以确定,因此,只能笼统的展望可能的市场空间。
以中国市场来看,具备安装独立光储能力的用户主要集中于农村和工商业,根据目前市场上券商的测算,如果两亿农户按每年提升1%的渗透率、10kw的户均规模,新增户用光伏装机容量将达到20GW,所有这些光伏未来都将配置储能系统,由于户用储能还是以日内调节自用为主,不妨假设全部采用磷酸铁锂储能,按10%、2h的标准进行配储,则仅此一项每年就有4GWh的空间。这种预计仍然是保守的,因为仅仅考虑了农户的装机,如果再将工商业装机、部分城镇户装机、5G基站的储能需求都算上,至少可以达到5GWh以上。海外仅考虑发达国家的话,日本、澳大利亚、美国、欧洲加起来共计约10亿人(排除俄罗斯),其独立、半独立住宅占比约为60%,大致算来,拥有可装光伏的独立住宅数量与中国应处于同一量级。如果再扩展到全球,不考虑印度、中东、非洲、俄罗斯等地区,装机规模可能与中国和欧美不相上下。因此,综合来看,从2025年开始,预计未来每年需求侧储能市场新增装机量将达到100-150GWh。
(资料来源: 公开资料 ,本翼资本整理)图三十:海外发达地区独立/半独立住宅比例
综上所述,预计到2025年,年新增储能规模将达到170GWh,到2030年将达到260GWh。而2021年的储能新增装机容量只有25.2GWh,2021-2025和2025-2030的CAGR将分别达到60%和9%。
本文来自微信公众号“本翼资本CapitalWings”(ID:capitalwings),作者:本翼资本,36氪经授权发布。















