北大第2,清华第3,AIRankings世界高校AI排行榜出炉
2022年度AIRankings榜单给全世界的高校和机构按AI的实力排出了先后名次。CMU霸榜、清北前三,北美CS四名校均入top10。
又是一年高考季。
记得当年小编高考的时候,还流行这么一句话。
那就是,「本科看学校,读研看专业」。
这话放之前可能确实没什么错。
然而,随着近几年科技突飞猛进的发展,一些和前端科技挂钩的专业可能就要从本科开始起步了。
要说当下最火的专业,莫过于人工智能了。
恰好最近AIRankings发布了一份全球大学AI相关专业排行榜。
让我们一起看看有哪些大学和机构榜上有名吧。
AI世界排名:北清综合前三
AIRankings排名综合过去十年的研究,以及通用人工智能、计算机视觉、机器人、机器学习、自然语言处理、认知推理、多智能体系统与模拟这八个方向的表现。
卡内基梅隆大学以巨大的优势夺得第一,北大和清华当之无愧地跻身于世界前五,分别位列第2、第3。
加利福尼亚大学伯克利分校和麻省理工学院紧随其后,分别拿下第4、第5,中国科学院则排名第6。
「相爱相杀」的清北/北清,在这个排名上依旧十分胶着、不分伯仲。
从修正后的AI论文数来看,北大领先;而单从AI指数来看,则是清华略胜一筹。
不过,把各个项目拆开之后可以发现,两所学校各有侧重。
比如,北大在计算机视觉和自然语言处理上得分更高,清华在通用人工智能和机器学习上表现出色。
其他进入世界前100的学校如下:
此外,从国家层面上来看,中国的AI研究成果已然可以排在世界第2,不过距离第1的美国依然差距颇大。
与此同时,研究机构的数量也逊于第3的德国和第4的英国。
具体表现如下:
评价标准
综合来看,这个榜单的评价标准也是十分严谨的。
其中,共列出人工智能最主要的六个领域:计算机视觉,自然语言处理,机器学习,认知推理,机器人以及多智能体系统,再加上通用人工智能和模拟两个领域,一共八个方向。
同时,这些领域彼此之间并不是孤立的,领域之间多有融合。
在评价细则中写道,评价作者时,每位作者会得到两项分数。
其中一项叫做Adjusted Publications(AP),指的是该作者在某一特定领域的经修正后的发表文章总数。
这个量又受两个因素影响:
第一是该文章发表在了哪里,反映在上式的权重系数Pi上。
第二是看文章有几位合著者(除去学生),比方说有K个合著者,那么每名合著者就会得到 K^{-1} 分。
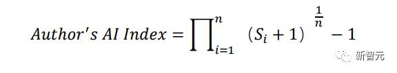
另一项分数则叫AI指数,指的是每个领域中该作者发表文章数量的几何平均值。
计算公式为:
其中Si为作者在特定领域内的「AP」,n为跨领域数量。
AI指数衡量的是作者研究的广度,跨学科能力越强,该分数越高。
在多个AI领域都发表过文章的人所获得的打分会高于在同一领域发表相同数量文章的人。
而在评价研究机构(包括大学)时,也会应用如上的两项指标。
Adjusted Publications和AI指数。
区别就在于,在统计总数时会把该机构(含大学)的所有作者发表的文章算进去。
如果有作者另谋出路了,那么属于他的这一部分分数也会跟着转移到新的机构。
AIRanking的理念很简单:
评价一所学校或机构不是看你过去取得了多么厉害的成就,而是看你当下有多少能力。
当然了,这份榜单也并不一定是最权威的。
在评价细则的最后,AIRankings指出了这次排名的一些可以提升的方面以及不足:
首先,AIRankings只收集了学术界的研究机构的数据,并不包括企业资助的机构。
然后,不是所有的AI成果都发表在特定的AI期刊和会议上。有相当一部分论文发表在了多学科的科学期刊上(比如说Cell、Nature、Science等等),这部分文章不计入评分。
另外,AIRankings会区分不同的期刊和会议的权重。根据它们在领域内的影响力计算。
该数据则通过咨询AI专家进行确定。
八大方向排名
通用人工智能
这榜单打眼一看,满满的中国国旗。
前五里面有四所都来自中国,分别是清华大学、中国科学院、北京大学、南京大学。
而6到10名也有两所中国高校入选。分别是第6名的上交和第7名的浙大。
值得一提的是,清华的两项指标均为326.33,遥遥领先。
计算机视觉
在CV这个领域里,前十还是有四所中国高校入选。
其中,前五名里,港中文、中科院和北大分别位列前三。
可以说是霸榜了。
而就这一项来说,清华的排名往下掉了几名。但还是排在了第9,并且和6、7、8名的差距并不大。
机器人
然而,在机器人研究上,我国的高校就要逊色不少了,位列前50的学校是由三所:
清华大学排名39,香港科技大学排名42,北京大学排名50。
机器学习
在机器学习领域,中国高校也没有特别出众。
其中,前五都由美国大学占领,并且两项指标都很高。
好在,清华大学独树一帜,排在了第6名。
北大排名14,西工大第21,浙大第26,中科院第30,南大第42。
对比机器人方向,机器学习的整体表现还是要好上不少。
自然语言处理
在自然语言处理这个分支,北大当之无愧排在了第1名。
北大的两项分数甩开第二名快40分。可以说,地位相当稳固。
同时,清华也杀进了前五。中国科学院和哈尔滨工业大学分别位列第6和第7。
认知推理
这一项的前十也没有中国高校上榜。
在认知推理这个分支下我们和美国高校还是有一定差距。
北大和清华出现在了榜单三十多名的位置,分别排在第34名和第38名。
多智能体系统
很遗憾,这一项中前十还是没有出现中国高校。
往后看一点的话,第13名是清华大学。从分数上来看,和第10名的差距并不大,杀入前十指日可待。
第55名、57名和58名分别是人民大学、山东大学和南京大学。这三所学校都是有潜力继续在这个榜单上占有一席之地的。
模拟
而在AI模拟领域,浙大一枝独秀排在了第4。它也是这个领域唯一一所排进前十的中国高校。
而在之后的排名中,清华大学排在了第15名,北京大学排在了第21名。距离前十也并不是那么的遥远。
不管怎么说,中国还是有很多所大学的AI学科名列前茅。
想进军人工智能的广大学子可以冲了!
高考必胜!
参考资料
https://airankings.org/
本文来自微信公众号“新智元”(ID:AI_era),作者:好困 拉燕 David,36氪经授权发布。















