姻缘算法:聪明人的21条爱情公式
编者按:本文来自微信公众号“孤独大脑”(ID:lonelybrain),作者老喻在加,36氪经授权发布。
上:原理篇
1、小数定律
女人的常见口头禅之一是:男人没一个好东西。
到了男人嘴里,常见的是:漂亮女人没有一个好东西。
之间的差别很微妙,我们放下不表。
《围城》里方鸿渐请鲍小姐吃西餐,结果超级难吃,两人吵起嘴来。
方鸿渐再接再厉地斗鸡,咬着牙说:“你不听我话,要吃西菜。”
“我要吃西菜,没叫你上这个倒霉馆子呀!做错了事,事后怪人,你们男人的脾气全这样!”鲍小姐说时,好像全世界每个男人的性格都经她试验过的。
小数定律是阿莫斯·特沃斯基和丹尼尔·卡尼曼在其研究中对“赌徒谬误”的总结。
小数定律是指:人们倾向于将从大样本中得到的结论错误地移植到小样本中。
比如人们知道掷硬币的概率是两面各50% ,于是在连续掷出5个正面之后,就倾向于判断下一次出现反面的概率较大。其实下一次出现反面的概率还是50%。
这一点已被大量的实验和证券市场上的错误预测所证实。
大多数人在判断不确定事件发生的概率时,往往会违背概率理论中的大数定律,而不由自主地使用“小数定律”,即滥用“典型事件”,忘记“基本概率”。
鲍小姐阅人无数,也许还不算使用“小数定律”。
但大多数妙龄男女们其实经验有限,通过个把案例,得出异性不可靠的结论,属于“赌徒谬误”行为。
2、大数定律
大数定律告诉我们,样本数量越多,则其算术平均值就有越高的概率接近期望值。
比如,我们向上抛一枚硬币,硬币落下后哪一面朝上是偶然的,但当我们上抛硬币的次数足够多后,达到上万次甚至几十万几百万次以后,我们就会发现,硬币每一面向上的次数约占总次数的二分之一,亦即偶然之中包含着必然。
根据大数定律,假如你想找一个百里挑一、万里挑一的人,你需要有足够的样本量。
要想摘到好桃花,你要多扔骰子。样本量不够,都是胡扯。
并不是说你要交几百个男朋友女朋友,其实你的生活圈子工作圈子已经帮你做过一些筛选了。
而且你也可以用“模拟”的方式来筛选潜在对象。
再有,这个世界是随机的,你以为的如意郎君,未必真的是;你最初鄙视的,没准儿挺适合过日子。谁知道呢?
你必须跳离牛顿力学的决定论,拥抱量子力学的不确定性。
总之,根据大数定律,想万里挑一,你要多交朋友,扩大交际圈,增加样本量,保持潜在对象的多样性与丰富度。
3、费米估算法
一个经典的费米问题的例子,是费米提出的“在芝加哥有多少钢琴调琴师”,用费米估算法,可以在信息极其有限的情况下算出非常接近的答案。
另外一个类似的公式叫德雷克公式,用来推测“可能与我们接触的银河系内外星球高智文明的数量”。
巴克斯在《我为什么没有女朋友》里使用了这个公式:
1、住在我附近的女性有多少?(伦敦:400万)
2、多少人有可能年龄上适合?(20%:80万)
3、多少人有可能是单身?(50%:40万)
4、多少人有可能拥有大学文凭?(26%:104000)
5、多少人有可能有魅力?(5%:5200)
6、多少人有可能觉得我有魅力?(5%:260)
7、多少人有可能和我合得来?(10%:26)
到最后,他愿意交往的女人,全世界只有26个。
看完了会不会对爱情绝望?
当然不要。问题在于对“筛网”的定义和估值,有些“筛网”必要吗?例如为什么要有大学文凭呢?
有些“筛孔”有必要那么小吗?例如把有魅力的异性比例定为5%,也就是20个里面挑一个,是不是太挑剔了。
还有,为什么非要女性呢?男的也可以呀,这样你周末约会的概率会翻番。--我是说你可以去跟着兄弟去混一下没准儿能遇见个伴娘什么的意思。
巴克斯这个家伙后来悄悄结婚了,所以千万别相信搞理论的人。
4、三门法则
这个法则是我提出的。
心灵开放度有8种。
其结构:外层是花园,中间客厅,里面卧室。
有人花园花枝招展欲醉人,但你压根难进大门;
有人一路开放到沙发,卧室则紧锁;
有人花园里养狗但不咬人,大门厚重但不上锁,卧室门还虚掩着,看似拒人千里,一旦进入犹如老房子着火。
开关×开关×开关,是为8种。
可每种最后都还有个保险柜。
我自己是个社交白痴,经常看不出别人脸色,听不懂话后的话。不过这段对人的“爱情三道门”的结构化剖析,不可谓不精彩。
有人问:为什么是8种呢?如下图(从下往上看):
寥寥数语,绘出一个结构完美、逻辑缜密、精确量化的模型,并且重温了排列组合,为计算爱情概率奠定了基础。
根据上面的“大数定律”,我们需要足够的样本量;
根据上面的“费米估算法”,我们需要减少“筛网”和“筛孔”的限制。
美国有位美女,计划快速找到老公,她的做法就是放大“筛孔”,只要有约会机会,都不拒绝。当然不是花心的意思,而是喝杯咖啡什么的。
后来她发现,那些她过去认为压根儿没有约会可能的对象,给自己带来意外的惊喜。
没多久她就结婚了,老公是一个以前她想都没想过的类型。
啥意思呢?可能就是那种刚走到花园大门口,女人就想放狗出去咬的那种“男人”吧。
正确的做法是,锁紧自己的保险柜,看好卧室门,适当打开大门,热情敞开花园的门。
既不要见到异性就打开保险柜,也不要见人就放狗。
5、口厌感原理
可口可乐虽然不是什么健康饮料,但是它有一种很特别的特性:
几乎没有什么味觉残余。
或者说:“口厌感”很低。
这样你就可以天天喝,才能成为高频消费。
两人过日子,那可是超高频消费,几乎分分秒秒都在一起。
这时候,“口厌感”低,比“口感惊艳”重要得多。
那些让你惊艳的酒精饮料,或者某种浓郁果汁,第一次喝的时候简直爽上天,恨不得天天喝。
然而呢?能让你多喝的决定性元素,不是好喝的峰值有多高,而是味觉残余的峰值有多低。
当然最好还有点儿咖啡因这类轻微上瘾因素(酒精不算)。
6、“18个月”原理
生理学意义上的“爱情”只能维持18到30个月。
美国康奈尔大学教授哈赞指出:
“研究显示,爱情是大脑中的一种’化学鸡尾酒’激发出来的,这些化学物质是多巴胺、苯乙胺……。
但时间久了,即使是最容易对异性产生冲动情绪的人也会对这三种化学物质产生抗体,两年以后,它们的作用便失效了。
超过这段时间,男女双方要么分手,要么心平气和地一起过日子,爱情成为习惯,特别是有了孩子以后。即使双方想生更多孩子,这三种化学物质也不再起作用了。”
哈赞的结论来自一个基于5000对夫妻样本的实验。她认为,18到30个月这段时间足够男女二人认识、约会、结合、生子。在此之后,一般就不易出现看到对方便心跳加速、手心出汗的情况了(除了想打对方)。
所以,前18个月靠鸡尾酒来“热启动”,此后要切换到“口厌感”频道,好好过日子。
7、37%最优停止理论
这一条最时髦,但如果脱离了对“约会概率”和“对象评估”的理解,就只是一个数学游戏而已。
所以我把它放在原理篇的最后一个。
上面我们知道了要扩大潜在对象的基数,也大致明白了如何评估终生伴侣,那么“何时”以及“如何”做决策呢?
当你遇到一个有感觉的人时,有两个陷阱:
一是像没吃过糖的孩子,哭着喊着要海枯石烂真爱到永远;
二是不甘心,心想后面会不会还有更好的呢?
“科学”的做法是:
年轻时多恋爱,拒绝把遇到的任何人当作人生伴侣,直到你熟悉恋爱市场的行情。
这个阶段一旦过去,选择接下来出现的第一个比之前所遇都要好的人。
这个阶段的数值是多少呢?
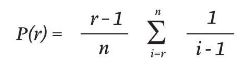
“最优停止理论”给出了答案:37%。
你停止找寻并和最佳人选安定下来的概率(用P代表),与潜在恋人(n)中被你拒绝的人数(r)是相关联的,公式如下:
比方说吧,如果你一生可能要有10段恋爱,那么找到“那个他”的最大概率发生在拒绝4个恋人之后(代表39.87%的恋爱经历)。
如果你可能谈20段恋爱,则要拒绝前8个人(那个对的人在38.42%处等你)。
现实中因为很难量化,而且人算不如天算,所以这个公式怎么样看你自己了。
在概率及博弈论上,该问题被称为秘书问题,类似的名称有相亲问题、止步问题、见好就收问题、苏丹的嫁妆问题、挑剔的求婚者问题等。
我觉得“见好就收”这个名字最贴切。
简而言之,姻缘的算法,本质上就是一个概率问题。
中:攻略篇
8、趁早定律
出名要趁早,干蠢事要趁早,发财要趁早,恋爱也要趁早。
顺着上面的“37%最优停止理论”,人们应该在年轻时早恋爱,多恋爱,低成本试错,形成一定样本基数。
但是多早,以及多少,这就不是我的强项了。
太早恋和太晚恋,显然都不合适。
有些乖孩子,从小被教育恋爱就是奔着结婚去的,其实也挺“陈风陋习”的。
这相当于鼓励年轻人要和(hu)就“和一把大的”。
该思路,不符合这个充满不确定性的复杂世界。
有些世界的人,年轻的时候是圣徒,中年后油腻猥琐;
有些世界的人,年轻的时候胡来,中年后回归家庭虔诚恩爱。
你喜欢哪一种?
时间优势还有另外一种呈现。下面是我曾经答出过的一道题(来自网上):
小明有两个女朋友,分别住在A和B,小明住在C。每个周日早晨,小明在C站等地铁,他决定听天由命,哪边的地铁线来了,他就登上地铁去看谁——两边地铁都是准时地每20分钟一趟车。
然后他去看女友A的次数明显多于去看女友B的次数——于是他认为天意让他选择女友A。
其实呢,让他和女友A结婚的人不是天意,而是地铁运营商!
因为朝左开的地铁到站时间是:7:00、7:20、7:40、8:00、8:20、8:40、9:00、9:20、9:40……
而朝右开的地铁到站时间是:7:05、7:25、7:45、8:05、8:25、8:45、9:05、9:25、9:45……
所以小明去看女友A的次数是去看女友B的次数的3倍。
看看,一切都是计算。
9、爱情博弈论
在《傲慢与偏见》中,本尼特夫人(女主角伊丽莎白的母亲)为自己的5个女儿物色丈夫,为了吸引新搬来的富有邻居、单身汉宾利先生,她特意挑雨天安排大女儿简骑马赴约,为的是让她淋出病来,好在主人家住上几天,以便尽可能最大化地增加女儿与他的会面时间。
数学家严加安院士引用了崔时英教授的研究:
在简·奥斯汀的小说中,“为了生存,这些女主人公都建构了一套策略谋略理论”。的确,纵观这6部小说,奥斯汀笔下的那些年轻却经济拮据的女主人公们,往往通过策略谋略的选择和谋策,战胜了那些看似强大的竞争对手,从而在最后获得了快乐、幸福和经济保障——成功嫁给一位富有的如意郎君。
例如,当简难以决定自己是否应该嫁给宾利先生时,她的妹妹伊丽莎白建议:
“那就得看你自己的主张如何。如果你考虑成熟以后,认为得罪了他的姐妹们所招来的痛苦,比起做他的太太所得来的幸福还要大,那么,我劝你拒绝了他。”
你看,即使是在经典的爱情名著里,策略也不是什么不好意思的事情,甚至令爱情更富有生命力。
博弈论(又译为对策论,或者赛局理论,经济学的一个分支,1944年冯·诺伊曼与奥斯卡·摩根斯特恩合著《博弈论与经济行为》,标志着现代系统博弈理论的初步形成。
博弈论被认为是20世纪经济学最伟大的成果之一。目前在生物学、经济学、国际关系、计算机科学、政治学、军事战略和其他很多学科都有广泛的应用。
博弈论主要研究公式化了的激励结构(游戏或者博弈)间的相互作用。是研究具有斗争或竞争性质现象的数学理论和方法。也是运筹学的一个重要学科。
(以上来自维基百科。)
电影《美丽心灵》里,在普林斯顿大学的酒吧,4个男生正研讨泡妞课题,纳什心想:
“如果他们4个人全部去追求那位金发美女,美女就会很骄傲地不理他们,美女以为会找到更好的。男生们碰壁后再去追其他女孩一定会被拒绝,因为没人愿意当备胎。但如果他们先追其他女生,那么金发美女就会感到被冷落,这时再追她就会容易得多。”
这就是“纳什均衡”的思想萌芽。
《傲慢与偏见》几乎通篇蕴藏着一系列的操纵和谋略——一方会通过预期另一方的结果,而做出利己的选择。”
然而,策略如果不是基于真爱和真诚,会显得非常可怜。
又,如果你不屑于用,而你的(绝对不如你的)对手却在用,那么结果可能会很可悲。
爱情如果是纯洁的,策略也可以是纯洁的。
10、禀赋效应
培根说,人们喜欢相信他们认为正确的事。
在爱情市场上,人们倾向于高估自己。
禀赋效应,形容当一个人拥有某项物品或资产的时候,他对该物品或资产的价值评估要大于没有拥有这项物品或资产的时候。
由于禀赋效应,人们在决策过程中,往往会产生偏见,导致对于规避风险的考虑远远大于对于追逐利益的考虑,因此人们在出卖物品或资产时,往往索取要比其本身更高的价值。
简单说,就是一种“不情愿交易”现象。
比如,当在线约会网站的用户被问到他们自己的外貌评级时,仅有低于1%的人回答他们的外貌“低于平均水平”。
我对爱情的“量化交易”毫无兴趣。但你我都要承认,我们潜意识里会对机会成本进行评估。
我的建议是评估标准的本质化和多元化。
归根结底,决定了你的伴侣与你的一生的,是善良、诚恳、同理心、坚强、忍耐这些基本元素,而非那些花哨的标签,例如学位,荣誉,社会地位。
越是优秀的人,越愿意将“同样优秀”作为交易的前提,其实并非如此,姻缘并非一场拳击赛,需要势均力敌。婚姻是一种嵌套关系,互补比强化更重要。
但前提是一致的价值观。在此基础上,保持适当的多元化,别用过于世俗的成功标尺来衡量,也许会更好。
太在意“交易”的公平性,等有了更好的交易对象(按照世俗的标准,这种事情永远会出现),就会出现后悔和撕毁合同的状况。
11、映射定律
我们在别人身上的所见不过是我们自身的一种映射,不同的只是表现形式而已。
管理学家卡门雅德斯说:你的工作伙伴或老板表现出愤怒的时候,看看你的内心,你就会发现,自己也充满着怒意。
这就是映射定律。
她对此分析道:
也许你幼时曾经承受巨大的压力,或者别人对你期望值过高,因此在可能犯镨误或是心不在焉的时候,你的内心总会被恐惧所笼罩。
你的内心希望自己变得不负责任和粗心大意,从别人身上,你会看到这种思想的映射。当你因为他人而愤怒的时候,你不过是在跟镜中混沌的自己纠缠。
映射定律会引导我们得出非常鸡汤、但又非常重要的结论:
要改变对象,先改变自己。
更应该从中受到启发的,应该是家长。
让孩子拥有一个强大而美好的内心世界,比强化他的外部,更能决定他将来姻缘的幸福。
如下图:
12、销售思维
销售思维,是指一种形成闭环的能力。
对于销售来说,特别重要的就是“关单”。毕竟在球场上,临门一脚决定了最终成败。
有些人很擅长构建优势,而有些人则擅长构建胜势。
所以恋爱上的赢家,和婚姻上的赢家,通常不是同一类人。
阿里有个著名的销售团队“中供铁军”。其中一位叫李立恒,他把销售思维用在了追女孩上:
当时为了追一个女孩,他把过程分成了“挖需求、抛产品、解问题、提成交”四个步骤。后来,那个被李立恒所追求的女孩,变成了李太太。
在李立恒看来,只要掌握高明的销售技巧和销售思维,什么都能卖得出去。包括把自己“卖”给别人。
这里的“临门一脚”,其实是不分主动被动的。据说某英国王妃嫁给王子的过程是这样的,她给王子留了个便条,上面写着:关于你求婚这件事,我认真想了很久,决定答应你。
于是王子就一边稀里糊涂地求婚,一边想:最近记性好差,我啥时候求过婚?完全不记得了......
13、丑男定律
即使女人不愿意承认自己看重男人的外表,,但事实是很多女性都将外表作为筛选丈夫的重要标准之一。
但是,根据经济学家尼古拉斯·埃尔潘的研究,外形不是那么出色的男性,在年龄较大的时候更容易找到年轻貌美的妻子。这是一种经济学意义上的“成功”。
“丑”男年轻时不太占优,随着年龄的增长更倾向于保持单身,这使他们在晚年婚姻市场中提前得到一个有利位置,较为年轻又不太关注丈夫外貌的女性会更加关心他能提供稳定收入的能力。
“帅男”则在他们还年轻时步入了婚姻殿堂,那时他们还没有把自己塑造成为供给者,而且结婚对象也多为同龄的女性。
这也是“原因的原因不是原因”的极佳案例。在一个复杂系统里,因果关系显得格外变幻莫测。
14、麦克斯韦妖
牢靠的爱,不仅需要互补,还能形成一种“交叉锁扣”的结构。
不光是S遇到M,更要是:
一个外表S的M,遇到一个外表M的S。
S型M + M型S = 真爱到永远。如图:
解释如下:
1、平时男性霸道总裁,女性小鸟依人;
2、总裁有时很脆弱,小鸟瞬间变母鸡。
道理大家都懂,现实很残忍:霸道总裁总是遇见凶残母鸡。
即:即使男女双方完美符合“S型M + M型S”,但在现实中,如果男方的外S,撞到了女方的内S,就会爆发战争;如果女方的外M,遇见男方的内M,就会性冷淡;
多不容易啊,双方茫茫人海中,不远万里走到一起,八字相合,星座匹配,SM内外和谐,可是,还是要苦心经营,他S时你赶紧调节到M,她M时你硬撑也得S。
(认真看了上面这两段并懂了的,智商在135以上。)
这就是爱啊。
所以,如上图,一段持久的爱,不仅需要十字锁结构,还需要:
位于原点的调节阀。
1867年,麦克斯韦设想:一个能观察到所有分子速度的小精灵把守着一个容器中间隔板上小阀门,当看到右边的高速分子来到阀门时就打开让高速分子进入左室,当看到左边低速分子来到阀门时也打开让低速分子进入右室。设想阀门无摩擦,于是一个小精灵无需做功可使左室越来越热,右室越来越冷,从而使整个容器的熵降低了。
这个小精灵被人们称为麦克斯韦妖。
该模型似乎违背了热力学第二定律(熵增原理)。1929年,希拉德分析妖精若想控制开关,必须获得信息,而为获得信息所付出的代价就是系统熵的产生,而这额外的熵的产生抵消了整个容器的熵的减少,总的说起来,总的熵还是增加的。此时信息表征为负熵。
在上上图中男女sm真爱四格结构的原点,亦存在这样一个“麦克斯韦妖”。男s时将女调为m,女s时将男调为m。
所以,爱不仅是艺术,更是一门手艺。
下:运营篇
15、基因中心进化论
道金斯提出了“复制者”的概念,在“原始汤”中,能够复制自身的分子将获得生存优势,从而开始进化,而生物体内的复制者就是基因。基因制造出“生存机器”以达到传播自己的目的。“生存机器”就是生物体。
道金斯认为,能够帮助生物体存活并繁衍的基因组合也就增加了基因本身被传播下去的可能性。
所以,经常“成功”的基因也有利于生物体。比如,帮助生物体抵御疾病的基因在帮助这生物体的同时也同样促使这种基因本身在生物群体中传播开来。
有些时候,基因和生物体的利益会相互冲突。比如在一种蜘蛛交配的时候,雌性会把雄性吃掉。此时,雄蜘蛛寻找雌蜘蛛交配的行为会带来生命危险,是违反自己利益的,但这样却会使基因遗传给下一代。
(以上来自维基百科。)
从生物学的角度来说,动物们的爱情就是为了交配生孩子。
于是便有了一场博弈游戏:
雄性只要把雌性骗“上床”命中后,就离开,并四处“播种”;
雌性可以先考察雄性一番,拒绝和不靠谱的雄性交配。在交配之前,雌性配偶就有很多策略选择,比如好好选择一个最可靠的配偶。
该理论也很容易解释血缘之间的亲情。
生理学意义上的“爱情”,遗传学意义上的“爱情”,并不能阻止人类从更多维度赋予“爱情”的意义。
16、爱情社会经济学
弗罗姆在《爱的艺术》里说:任何关于爱的理论,必须以人的理论,人类生存的理论为起点。
根据进化生物学家大卫·施密特对48个国家/地区的研究,Sex自由排第一的国家是芬兰。
社会心理学家罗伊·鲍迈斯特发现,那些两性更加平等的国家也是Sex自由更加“严重”的国家。
难道国家的富强与Sex自由程度紧密相关?
婚姻制度的起源,被认为不是为了爱情,而是为了生育。
这个理论大概是“自私的基因”的延续。
婚姻制度要求男人为自己播下的种子负责,一夫一妻制有利于内部协作,也为农业奠定了基础。
费孝通在《生育制度》一书中说,婚姻不是本能,也不是男女彼此约定,而是一项社会制度,最开始的功能就是生育(生和抚育)。
从消费时代看,婚姻和钻石一样,看起来像一个类似的伟大发明。
有次我看电影,前面有八个贴片广告,四个是汽车,四个是美容整形。
尽管分别面对男女受众,但的确都是异性驱动的商品和消费。
17、驯兽学
“你是谁?”小王子说,“你很漂亮。”
“我是一只狐狸。”狐狸说。
“来和我一起玩吧,”小王子建议道,“我很苦恼……”
“我不能和你一起玩,”狐狸说,“我还没有被驯服呢。”
“啊!真对不起。”小王子说。
思索了一会儿,他又说道:
“什么叫‘驯服’呀?”
在《小王子》里,狐狸很耐心地告诉小王子,驯服,就是建立联系。
“对我来说,你还只是一个小男孩,就像其他千万 个小男孩一样。我不需要你。你也同样用不着我。对你来说,我也不过是一只狐 狸,和其他千万只狐狸一样。但是,如果你驯服了我,我们就互相不可缺少了。 对我来说,你就是世界上唯一的了;我对你来说,也是世界上唯一的了。”
小王子是个悟性很高的小朋友。
“我有点明白了。”小王子说,“有一朵花……,我想,她把我驯服了……”
男女之间,在社会意义上容易高估二者之间的差别,在生理意义上,容易低估二者之间的区别。
自私的基因如同唐僧给孙猴子头上装了紧箍咒一样,给男性安装了荷尔蒙发生器,定期就念上一通。
男人在街上看见美女,忍不住去看,并不是他真的想看,而是脖子不由自主地发生了转动。这个是有科学依据的。
男女之间的彼此驯服,不能从爱情小说里去寻找方法,而是要从生理学、进化心理学、社会学的角度去探寻。
爱情驯兽学是个大话题,我就很有自知之明地到此为止吧。
18、赢得输家的游戏
为什么秀恩爱,死得快?
因为爱情是一场赢得输家的游戏。
科学家西蒙·拉莫博士写过一本关于比赛策略的著作《网球庸手的高超打法》。经过多年观察,他发现,网球有两种打法:一种是专业球员和少数极富天赋的业余球员的打法;另一种是其他人的打法。
专业球员“赢得”比分,而业余球员则是“输掉”比分。
两种游戏基本上是相反的:
专业网球比赛是“赢家游戏”,结果由赢家的行为决定。
业余网球比赛是“输家游戏”,结果由输家的行为决定。输家往往是自己击败自己。
明星们,还有你身边那些特成功又高调的人,他们是爱情上的“专业选手”。他们的对象惊为天人,他们的恋爱气壮山河,他们的婚礼花天酒地,他们的日子像样板房,然而这类恩爱往往死得很快。
爱情的专业选手,也未必算得上“赢家游戏”。
其实当好爱情的业余选手,彼此携手,战胜厌倦,穿越时间的长河,就已经很好了。
19、爱情建筑学
什么样的建筑才是美的,各个时代或建筑派别对于美有不同的看法,例如均衡、对称、巨大感、线条感、与实际生活的配合等都是建筑美学可能考量的因素。
对爱情建筑学而言,可以简化为下面三个要素:
一、牢靠;
二、好看;
三、生长。
赖特曾在自传中写道:“威斯康辛农场的自然美是人造花园无法相比的,在自然的怀抱中,我纵情的享受欢愉。”
因此,在他的建筑理念中崇尚大自然的力量,认为房屋应该像植物一样,“是地面上一个基本的和谐要素,从属于自然环境,从地里生长出来迎接太阳。”
还记得此前的三门理论?爱情同样应该有自己的美丽花园,四季开出不同的花朵,果树一年年长大,让孩子和孩子的孩子们自由采摘,该褪色的褪色,该发芽的发芽,仿佛可以永生。
20、闭眼定律
富兰克林有一句箴言:
“结婚前要睁大双眼看清楚,结婚后要睁一只眼闭一只眼。”
书呆子芒格的理解是:“实事求是地看清现实,可还是去爱。”
不管是工作还是生活,有可靠的人,彼此之间有正确的信任,就会带来好的结果,否则只会麻烦不断。
巴菲特则洞察了《影响力》一书里的原理,强调不能斤斤计较:
做好事总能得好报。在生活中,千万别斤斤计较。无论是在婚姻中,还是在商业上,斤斤计较都是个大毛病。我总是换位思考。大多数人都知恩图报。你为别人做一件事,别人能为你做两件事。
我的总结是,幸福生活的秘密就是要彻底放弃抵抗。嗯,连抵抗的这种念头都不能有。
21、爱是一门手艺
斯宾诺莎发现,美德和力量是一回事情。爱是一种行动,是人类力量的实践。它是一种自足,而不是一种追索。爱首先是给予,而非索取。
(当然,以索取为目的的给予更为恐怖。)
弗罗姆如此定义:爱是一种主动性的活动,而不是一种被动性的情感。
他总结了“爱的积极性”的三个特征:给予,关心负责,尊重了解。
爱是一种认识生命秘密的途径。这类东西通常会激发残忍。
尽管在弗洛伊德眼中,爱基本上就是一种性现象,但我们不能因为生理而放弃灵性,也不能因为经济而舍弃浪漫。
既然爱是一门手艺,所以我们需要:
一、规矩;
二、专心致志;
三、耐心。
四、投入最大的关注。
但是,对于绝大多数人来说,其实是没有天赋的,所以需要多锻炼。
未必是直接去学这个艺术,而是间接去学这个技术。
爱取决于自恋的相对消除,爱要求谦卑、客观性以及理性的发展,一个人应该终身投入到这个目标中去。
其实现在有很多培训班,传授更加实用、更加直接的“爱情手艺”。
将丛林规则应用于现代社会,经常会有奇效。这一点在当今屡试不爽。
类似于进化论,以及爱情经济学,有些东西你必须懂。但以此作为人生准则,其实是把自己拉回到丛林时代,这很悲催。
长期而言,这类婚姻和爱都不具备反脆弱性。
终此一生,你会为这占有、却不拥有的人生懊恼。
用弗罗姆的观念来收尾,既正确又安全,在我看来也是智慧的。
爱的艺术和实践,都需要一个必要条件:信念。
爱是一种积极性,更是一种生命力。
最后
罗素在《我为何而生》里写道--
有三种情感,单纯然而强烈,支配着我的一生:
对爱情的渴望,
对知识的追求,
以及对人类苦难不可遏制的同情。
这些感情如阵阵巨风,挟卷着我在漂泊不定的路途中东飘西荡,飞越苦闷的汪洋大海,直抵绝望的边缘。
祝你好桃花。















