潮科技行业入门指南 | 深度学习理论与实战:提高篇(19)—— 强化学习简介(五)
编者按:本文节选自《深度学习理论与实战:提高篇 》一书,原文链接http://fancyerii.github.io/2019/03/14/dl-book/ 。作者李理,环信人工智能研发中心vp,有十多年自然语言处理和人工智能研发经验,主持研发过多款智能硬件的问答和对话系统,负责环信中文语义分析开放平台和环信智能机器人的设计与研发。
以下为正文。
本文介绍n步方法、TD-λ、Eligibility Trace和函数近似。
更多本系列文章请点击强化学习简介系列文章。更多内容请点击深度学习理论与实战:提高篇。
n步方法
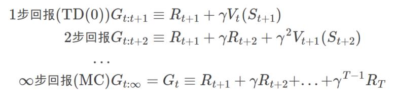
MC方法是用Episode结束时的回报来作为更新目标,而TD(0)使用一步之后的回报来作为更新目标:
根据上面的推广,我们可以定义n步回报(n-step Return)为:
这些方法的backup diagram如下图所示。
图:n步方法的backup diagram
有了n步回报之后,我们就可以n步TD学习算法的更新公式: Vt+n(St)←Vt+n−1(St)+α[Gt:t+n−Vt+n−1(St)],0≤t<TVt+n(St)←Vt+n−1(St)+α[Gt:t+n−Vt+n−1(St)],0≤t<T
下面是不同的n在一个19状态的Random Walk(由于篇幅,本书不介绍这个任务)中的对比效果如下图所示,可以看出n=1(TD)和n很大(MC)的效果都不如中间的某个n好。
图:n步方法的比较
有了n步的预测,再加上ε-贪婪的策略提升,我们就可以实现n步的On-Policy策略n步SARSA算法。由于篇幅,我们就不讨论具体的算法了。同样的我们也可以使用重要性采样方法得到n步的Off-Policy算法。
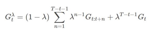
TD-λ
λλ-回报
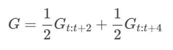
前面我们介绍了n步回报,不同的n有不同的效果,那么还有一种方法就是把多个n步回报进行加权平均。比如我们可以把2步回报和4步如图回报加权平均起来:
我们甚至可以把无穷多个n步回报加权平均起来,而λ-回报就是一种无穷多个n步回报的加权方式。无穷多个怎么加权呢?
图:λ-回报
如上图所示,我们把无穷多个n步回报加权平均起来(因为当n大于T的时候,Gt:t+n就等于真实的回报Gt了。所有后面无穷项的系数都累加起来是λT−t−1,读者请先接受这个数字,我们后面会证明它。
从图中可以看出,1步回报的权重是1−λ,2步回报的是(1−λ)λ,3步回报是(1−λ)λ2,…,一共有无穷项:
我们首先证明这无穷项的和是1。这需要一个简单的无穷级数公式:
有了这个公式之后,我们就能计算所有回报的系数和:
注意,因为当n=T-t及其以后Gt:t+n就等于真实的回报Gt了(因为到了Episode结束)。所以从n=T-t之后的项的回报是相同的,所以可以把后面无穷项合并起来:
因此从n=1到T-t的n步回报的权重分配如图下图所示。这样,我们可以把Gtλ写出有限项的和:
图:λ-回报的权重分配
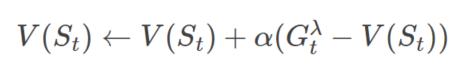
有了λλ-回报的计算公式之后,我们就可以用它得到TD-λ算法的更新目标,从而就可以进行预测了。
这就是著名的TD-λλ算法了,根据这个算法,Gerald Tesauro在1992年设计了TD-Gammon程序,它会学习西洋双陆棋(backgammon),并且达到了人类顶尖高手的水平。
注意zhong这种TD-λλ算法是所谓的前向视角(Forward View)得出的,和MC一样,它要等到Episode结束才能计算,而且不能用于非Episode的任务。
另外,我们看一下λ的两个特殊值,λ=0λ=0和λ=1λ=1的特例。根据公式,当λ=0λ=0时,第二项是零,第一项只有当n=0时的系数是非零的1,因此变成了TD(0)算法。当λ=1λ=1时,只有第二项,因此变成了MC算法。
图:Forward View
Eligibility Trace
到这为止前面所有介绍的方法都可以归为Forward View的算法,在t时刻我们往前看一步或者多步,然后得到更新的目标。如上图所示。接下来我们会介绍另外一种视角Backward View。我们首先需要介绍一个概念Eligibility Trace,Backward View的算法大部分都是基于这个概念。
我们来看一个Credit分配的问题(其实强化学习的本质就是要判断很久以前的某个行为/状态对未来的影响大小,当然机器学习也是分析哪些因素是某个事件发生的重要原因,但是强化学习的难点在于行为会改变未来),如下图所示,有两个行为响铃和开灯,最终导致电击事件的发生。那到底是那个行为造成的呢?也许你会说是响铃,因为响铃了很多次,根据经验,如果某个事件发生前经常有另一件事情发生,那么它们很可能存在某种联系。但也许会有人说是灯光导致电击的发生,因为它就在电击事件的前一刻发生,根据经验,离某个事件越近的事件越有可能是诱因。
图:Credit分配问题
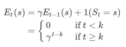
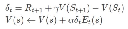
那到底哪种说法正确呢?两种都对!因此我们在分配Credit的时候要同时考虑这两个因素。把这两个综合起来就可以得到Eligibility Trace:
根据上面的公式,Et分为两部分,一部分来自之前的Et−1,但是会衰减成原来的λ倍(γ是打折因子,这里暂不讨论);另外一部分就是当前状态是否是s。
图:Eligibility Trace示例
我们来看上图,开始是E(s)是0,然后连续4次St都是s,因此E(s)不断增加,接着的状态都不是s,因此E(s)逐渐衰减,然后又有两次的状态是s,…。因此我们可以把Et(s)看成状态s对于最终的结果的“责任”,有点像之前反向传播算法的错误δδ。这样我们就可以得到backward view的TD-λλ算法的更新如下:
这个算法和之前的forward view实现不同,它不需要等到Episode结束就可以更新V(s)了。更新的量是δt乘以Et(s)再乘以学习率α。因此如果Et(s)很大,那说明状态s的“责任”也很大,因此它需要更新的比较多。那些状态的s对应的Et(s)大呢?显然如果St=s,那么它会较大,另外如果在这之前的Si=s,那么也会有非零的值,但是i距离t越远,衰减的就越多。如果在t时刻之前状态s完全没有出现过,那么E就是0。因为是根据当前的错误往前找“责任”,所以就是所谓的backward view,如下图所示。
注意:上面公式会对所有的状态都进行V(s)的更新,而不(只)是更新V(St),当然如果Et(s)=0,那么时间更新量是零。
图:Backward View
这看起来有些道理,但是这种方法怎么就和前面的forward view是一样的效果呢?下面我们来简单的验证一下。首先来验证一种特例,当λ=0时:
也就是只有St会有更新,其余的状态的Et(s)都是0,所有上式就是:
这正是TD(0)。
Backward View和Forward View等价定理
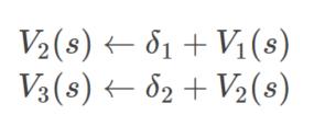
这个定理我们不做证明,但我们需要“读懂”它的意思。offline更新指的是等到一个Episode完成之后做一次更新,而不是每一步都更新,与之相反的是online更新。我们通过一个例子来说明其中的区别,假设一个Episode是:
那么算法会对状态s更新两次,对t更新一次。如果是online的,第二次计算使用的是第一次的结果来更新:
这里的δ1会依赖于V1(s),δ2会依赖于)V2(s)。最终的效果是:
而offline更新公式是一样的,但是δ1δ1和δ2δ2都只依赖于V1(s)V1(s)。
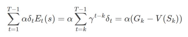
关于定理,另外一点就是公式里的s是Episode里出现的所有状态。这其实s是Forward View和Backward View的区别。Forward View在每一个时刻t只更新一个状态St的V值,因为t会影响所有后面的状态,所以它要往前看知道终止时刻T,而Backward View一次更新所有的状态。因此offline的算法可以根据最初的值计算每个时刻的错误δt,然后累加起来就是整个Episode对状态s的更新。
我们不证明(验证)这个定理,但是验证一个特例(λ=1)。假设一个Episode状态s只出现了一次,并且出现在时刻k。根据Et(s)的公式:
因为s只在时刻k出现一次,因此k时刻前E(s)都是0,而k时刻是,k+1时刻是γγ,…。根据前面TD(1)的Backward View的算法,我们可以计算到Episode结束时关于状态s累积的错误是:
首先我们看一下上个公式的第一个等号就是代入,最后一个等号的部分就是MC的δ。如果第二个等号成立,那么就说明TD(1)和MC是等价的。之前的Forward View我们已经说明了MC和TD(1)是等价的,如果MC又和TD(1)的Backward View等价,那么就证明了TD(1)的Forward View和Backward View是等价的,我们来证明一下第二个等式∑t=kT−1γt−kδt=(Gk−V(Sk))如下(为了之前的习惯,我们把k换成了t):
上面的每一行的最后一列和前以后的第二列抵消掉,只剩下第一列,第二列的最后一个的γT−tV(ST)和第三列的第一个−V(St)。因为V(ST)=0,所以就得到上面的结果。
上面只是证明了一个状态s,因此TD(1)的Backward View是和First-Visit MC大致等价的。不完全等价的原因是MC方法是Online更新的。也存在和Online的TD Backward View的算法,它和Online的Forward View等价,我们这里不介绍了。
函数近似(Function Approximation)
前面我们介绍的都是表格(Tabular)的方法,比如Q(s,a),我们可以把状态看成行,action看成列,则这个表格的大小是 |S|×|A|。这种方法只能解决状态和action空间是离散而且比较小的问题。但是很多实际的问题的状态空间和action空间都是很大甚至是连续的空间。比如我们让Agent玩一个视频弹球游戏,状态是当前时刻和之前时刻(为了能表示弹球的速度)的两帧图像。假设图像大小是80x80,图像是RGB的,那么状态空间的大小是256^(3×80×80),存储这么大的空间是不可能的。而且即使能够存下,训练时模拟的Episode也不能每种状态都见过。
对于连续的状态空间,我们可以通过量化把它变成离散的空间,比如后面我们会用到的gym里的MountainCar,如下图所示。它的状态包括两个连续值,位置和速度,速度的范围是(-0.07,0.07),位置的范围是(-1.2,0.6),我们可以把这个范围均匀的切分为40个区间,每个区间的大小分别是0.0035和0.045。
但是怎么量化本身就是一个复杂的问题,量化的区间太大,那么就会丢失信息,而量化的区间太小,就会使得状态空间爆炸。而且有的值不是均匀分布的,某些范围可能要用比较精细的划分而另外的范围不需要精细的划分。
mountain car
对于连续的复杂的问题,更好的办法是使用一个函数来近似这个表格,这就叫做函数近似方法。比如把Q(s,a)表示为参数w的函数Qw(s,a)。这样不过|S|×|A|有多大,它的实际存储和计算只取决于参数ww和模型结构(简单的线性模型还是复杂的多层神经网络)。
使用函数近似Q(s, a)还有一个好处就是它的泛化能力会增强,比如我们在模拟学习的时候可能没有经历过状态(0.53, 0.12),但是我们有类似的状态(0.54, 0.11)。如果根据表格的方法,状态(0.53, 0.12)的值函数是未知的,但是使用函数之后就能计算出它们有近似的Value(通常的模型都是连续的函数)。
我们来看一个简单的函数近似方法,使用函数来近似状态值函数vπ(s),假设函数为v^(s,w)。那么我们可以把普通的MC求vπ(s)的方法改造成函数近似的算法:
使用函数近似的MC算法
“真实”的Value可以用采样的Gt来近似,因此我们需要让函数v来近似Gt,我们可以定义类似的loss函数为1/2||Gt(St)−v(St,w)||^2,因此对上式求梯度就得到−[Gt−v^(St,w)]∇v^(St,w),然后使用类似梯度下降的方法乘以步长α就得到上面的更新公式。
当然,我们也可以使用TD来作为Value的近似,只需要把参数更新公式改为:
注意:TD需要计算v(St)和v(St+1)的Value,这里用v(St和v(St+1来近似。
对于Q(s),输入是状态s,输出是value;对于Q(s,a),输入是状态s和行为a,输出是value。如果行为a的空间有限比如是m个值,那么也可以采用如下图右所示的方式,让函数的输入是s,输出m个值分别表示Q(s,a1),…,Q(s,am)。这样做的好处是一次可以计算出多个Q(s,a),比如在Q-Learning中,我们需要计算maxaQ(s,a),需要计算状态s下采取所有不同action中得分最高的,那么这种方法就可以一次算好。
函数近似
函数近似使用的函数可以有不同的函数形式,从最简单的线性函数到复杂的神经网络。对于不同的函数和不同的算法组合,有不同程度的收敛性保证。下图列举了不同预测算法使用不同函数近似下的收敛性保证。
预测算法的收敛性保证
下图列举了不同控制算法的收敛性保证。
控制算法的收敛性保证
注意:没有收敛性保证不代表这个算法对于某个具体问题一定不收敛。比如Q-Learning和非线性的函数近似是不保证收敛的,但是在实际很多问题中,我们会使用非常复杂的神经网络来进行Q-Learning(Deep Q-Networks),这显然是非线性的,不能保证收敛,但是在很多问题中效果很好。















