续谈中国saas创业:地球人生活在三体星是什么体验?
编者按:如果要你回答“地球人生活在三体星是一种什么样的体验?”这个问题,通过构建模型来观察事物的变化和发展,也许要比实际在现实中用时间和金钱去实验要好得多。对SaaS中国创业者来说,想要找出一条中国 SaaS 的路,必须先知道美国 SaaS 这类成熟市场的路,然后才能分析这条路在中国是否能够行得通。继《火星救援》、《魔兽世界》后,OneAPM 董事长何晓阳又从三体出发,第三次聊了聊中国SaaS创业。本文首发于其个人微信公众号“何晓阳读书笔记”,授权 36 氪转载。
一、地球人生活在三体星是什么体验?
在某个未知的时间里,一个超级文明更改了我们太阳系的一些参数设置,将冥王星和赛德娜的质量改为了一个太阳质量。更改发生时,没有人知道,然而我们人类文明的方向从此发生了转变。
2050 年,质量为一个太阳质量的冥王星侵入木星轨道,将后者捕获,此后直到 2150 年,木星都在以 0.3 个天文单位的超小轨道绕新的冥王星公转。新的赛德娜不知受到了什么影响,开始直线离开太阳系。2100 年后又转向,开始接近太阳系中心。
2050 年至 2150 年,太阳与冥王星共同组成太阳系的中心,这两颗恒星围绕公共的质量中心公转,距离不到 2 个天文单位,形成双星系统。地球成为双星的卫星,在距离双星至少十个天文单位的距离的地方以不稳定的轨道绕双星公转。由于地球距离太阳的距离远远超过了宜居带的距离,从远远的地方望去,地球文明遭到毁灭,地球成为寒冷的固态行星。
2150 年赛德娜进入木星轨道,并未靠近太阳系中心,但地球不再绕太阳和冥王星公转,长达一世纪的恒纪元结束。此后地球的轨道再也没有稳定过。不知道地球上新兴的生物是否能够用自己的切身体会再写出一部《三体》。
2200 年左右,海王星天体厄里斯入侵太阳系中心,近距离掠过木星轨道,收引力扰动的木星被头也不回地抛出了太阳系,以 0.4% 光速飞得无影无踪。
2200 年左右,赛德娜进入太阳系中心,三颗恒星不断近距离接触,地球时常被夹在中间。乱纪元从此开始。
2363 年,太阳和赛德娜在齐头并进持续上升中,太阳独自行动但身边聚集了最多卫星,土星和海王星追在太阳和赛德娜后面,地球在太阳前面同向而行,正在剧烈改变轨道。水星不知何时被抛出太阳系,火星和天王星失踪了。
这一切是因何发生呢?
二、自己动手构造一个三体世界模型
在前几期的读书笔记里面写道,我正在学习复杂学,对大学时期没好好上数学课的我来说,这门学科真的是太难了,随便一个数学概念都能让我琢磨半天,微分方程对于我来说如同天书一般,但是便利之处也有,复杂学主要研究在简单的规则下如何时间变化形成复杂的东西,而这些统统可以通过计算机来模拟,虽然我编程能力大不如前,但是写一写简单的代码还是没问题的。
在过了编程模拟分形龙、科赫雪花这些初级阶段之后,我又把目标投向了三体问题,我本来是打算写一个程序来模拟庞加莱所研究的限制性三体问题,所谓限制性三体问题指的是两个大质量天体和一个尘埃的运动,在这个过程中我在百度和知乎上面搜索,发现了一个非常神奇的模拟程序。这个程序叫做 Universe Sandbox,在这个程序中可以轻松的模拟三体运动,一个简单的模拟如下图所示:
后来我找到了 Universe Sandbox 的升级版本,Universe Sandbox 2。在 Universe Sandbox 2 里面,甚至预设好了各种各样的真实的宇宙场景,比如说下图就是我们的太阳系。
我们可以通过简单修改天体的参数来看到各种神奇的现象发生,比如说,把太阳的质量修改为现在的 1.5 倍,也就是变成 1.5 倍太阳质量,那么会马上引发一场超新星爆发,于此同时,太阳系各个行星开始四散奔逃。
如果我们想体验一下三体星人的生活,那也很简单,在 Universe Sandbox 2 里面,通过把冥王星和赛德娜的质量改成了 1.0 倍太阳质量,这样在我们的太阳系中就创造了一个三体。那么我们可以通过程序来看到太阳系所发生的变化。
由于三体运动是初始条件极其敏感的运动,每一次模拟的结果都不相同,本文开头所描述的情形来自于其中一次模拟。
在另一次模拟中,在 2066 年左右,土星飞离太阳系如下 图所示:
与此同时,海王星也已经脱离太阳系。
但是我一直耐心的等到了 2228 年,太阳系三颗恒星的距离依然遥远,我没有耐心再等他们汇合了。
这个时候我们地球的运动轨迹是这样的,你能否想象一下在这样的地球上仰望星空的感觉?
三、自己动手获取 SaaS 模型所需要的资料
当我们说起太阳系的时候,我们往往会只考虑太阳和八大行星,这个时候,月亮的存在是可以忽略的,泰坦的存在是可以忽略的,一切卫星、小行星、柯伊伯带天体以及奥尔特云的冰冻物质和彗星都可以被忽略,自然,更加细粒度的地球上的动物、植物、真菌都可以被忽略,那么人类做构成的国家、民族、宗教也是可以被忽略的。我们人类的抽象思维能力将太阳系这个实体做了建模,而我们只需要研究这个模型。一旦模型建成之后,我们便可以通过修改模型的参数来观察事物的演变,我们无需再考虑纷繁芜杂的实体对象。
当我们考虑太阳系的时候,我们主要考虑太阳和八大行星,当我们考虑国家的时候,我们主要考虑中美和联合国几大流氓,当我们考虑互联网的时候,我们主要考虑 BAT 和 TABLE,现在我们在谈论 SaaS,那么我们应该考虑什么?
我觉得我们需要一个简单的模型,这个模型足以涵盖大多数成功的 SaaS 所表现出来的规律,这些公司因何创立,如何成长,现在如何,未来如何,把数字汇总起来,我们就可以得到一个虚拟的 SaaS 公司,也就是我们的统计模型。对照这个模型再来看中国 SaaS,我们才能做到定量的分析。
在美国,公开上市的 SaaS 公司也不过 50 家左右,我们可以将这些 SaaS 公司的公开资料加以收集和整理,并输入到 Excel 表格,或者是保存成文本文件并用 python 语言加以分析。获取 SaaS 公司的途径很方便,因为所有的纳斯达克和纽交所上市公司在 IPO 之前都要提交 S-1 文件,而这个文件是可以从 www.sec.gov 公开下载的。
S-1 文件的特点是,所有的故事都是异常精美的,所有的数字都是真实的,每一份都是凝聚着无数智慧与汗水的杰作。下图截取自 ServiceNow 的 S-1 文件:
四、从统计模型看 SaaS 企业的营收增长
利用第三节中学会的分析 S-1 文件的方法,我们可以知道一个公司几乎所有的信息。再把这些信息汇总,我们就会得到一些规律,如果我们把规律用统计学的方式画出来,我们就能得到模型,如果我们能够把模型用数学公式写出来,嗯... 这一步目前我还没有能够做到,我也没有见别人做过。
从目前总结出的数据看,SaaS 公司的增长是应该是逻辑斯蒂回归增长模型。逻辑斯蒂增长模型这个名词可能很多人是第一次听说,这是一个很神奇的模型,因为这个简单到只有一个变量的模型居然隐藏着混沌。不过今天不是我们讨论复杂学的时候,你只需要知道逻辑斯蒂方程是什么就可以了,如果你有兴趣可以自行百度一下,后面我们有机会再讲复杂学。
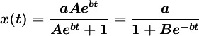
逻辑斯蒂回归方程是一个非常有趣的东西,方程本身也很简单,微分方程表达方式是:
而通解的表达方式是:
如何选择 SaaS 模型对应的参数这一块内容我还在慢慢研究,毕竟我数学比较差,但这个方程变量极少,而且又有众多已经成功的样本可以代入,所以我感觉离真理已经不太远了。^_^ 所以在这里也邀请有兴趣的同学一起参与这项研究。本文中,我们先不考虑方程,只考虑模型本身,我们取 34 家上市的 SaaS 公司的增长数据,经过统计之后的数据是这样的:
从图中可以看到,SaaS 公司基本遵从相同的增长曲线,但是增长率有所不同,在图中,LinkedIn 是一个明显的异类,它在创立之后的第 10 年就做到了每年 10 亿美元的收入,而 Kenexa 和 Vocus 用了 25 年才做到 2~3 亿美元的收入。
尽管营收的增长曲线不同,但是 SaaS 企业花在市场和销售的费用占营收的比例却惊人的相同。从下面各个企业的数据看,这肯定是一个模式 (Pattern),应该同样也可以建立一个方程。
我们可以看到,在前三年里面,市场和销售费用占到了所有公司营收的 80%~120%,到第五年的时候则降到了 50%。要知道我们所研究的都是已经 IPO 的 SaaS 公司,并不是骗子公司,因此,我们要知道,SaaS 一开始肯定是要亏钱的,并且,增长越好的公司亏损会越厉害。当然,在中国不排除有些人拿这一点来 2 VC,所以广大投资人一定要擦亮眼睛。
从销售额的角度讲,如果说我们一定要给 IPO 的这些家 SaaS 公司的营收增长总结一个通用的模式,那就是,5 年 5000 万美元,10 年 1 亿美元。这个数字看起来并不太高。
五、从统计模型看 SaaS 企业的 IPO 前融资状况
在漫谈 SaaS 系列的第一篇中,我曾经提到美国的 SaaS 企业在 IPO 之前的融资额和融资次数,今天我们提供一些更加精确的信息。平均说来,美国的 SaaS 通过在成立的第二年获得 700 万美元左右的融资,这些有的是通过一个种子轮再加上一个 A 轮,或者是直接进行一个比较大的 A 轮;在接下来的 12-18 个月里,这些公司发展迅速,所以他们可以完成金额为 1200 万美元至 2500 万美元的 B 轮;在第五年的时候,公司会融两三千万美元的 C 轮,然后在第七年会再进行一个两三千万美元的 D 轮,D 轮一般是 IPO 之前的最后一轮。
在上市之前,这些公司平均会亏损 6000 万美元左右,前两年一般平均亏损 500 万美元左右,第二个两年是 1100 万美元左右,第三个两年则是 1400 万美元。IPO 之前,这些公司账上平均能够剩下 2800 万美元,因此上市前平均融资总额是 8800 万美元,然后 IPO 的平均规模是融资 8200 万美元,因此,这些公司总的融资是 1.7 亿美元。
但是,这些平均的信息恐怕会对你造成一些误导,毕竟美国公开 SaaS 公司很多都是在 21 世纪第一个十年里面 IPO 的,时过境迁,整个的融资环境和现在不大相同,而且平均值也不能够完全说明问题。我们可以一个个详细的来看一下这些公司的融资情况:
这里列出了 41 家公开上市的 SaaS 企业,图中蓝色的线条代表了这些企业 IPO 之前融资中位数,这个数字是 7000 万美元。从红色条的长度我们可以轻松的分辨出来,不同的 SaaS 企业融资数额之间差异巨大,在 IPO 的公司里面,既有融资达到了 4 亿美元的公司奇葩公司 BOX,又有融资总数只有区区 400 万美元的 Veeva,而且让投资人糟心的是,后者的市值比前者还要高,所以,打造伟大的企业,并不是只有不断融资一条路。
如果我们把 1998 年到 2014 年之间 IPO 的公司按照每 4 年一个单位做一个统计,我们会得出一个有意思的表格,如下所示:
我们可以看到,第一,随着时间的推移,每年里 SaaS 企业 IPO 的总数大大增加了;第二,SaaS 企业 IPO 之前融资总数和融资轮次增加了,从 B/C 轮到了 E/F 轮;第三,SaaS 企业 IPO 的价格变贵了。
其中,2014 年对于 SaaS 企业来说是伟大的一年,在这一年里,有 9 家企业 IPO。
在这 9 家企业里面,IPO 之前平均融资次数为 4 次,其中远低于平均值的 Veeva 和 Tableau,以及远高于平均值的 New Relic 和 WorkDay。
六、写在后面的话
在美国,SaaS 是一个很成熟的商业模式,从 Idea 到产品,从团队到公司,从 Marketing 到 Sales,都有一定的方法论,而且 SaaS 公司的运行指标都可以通过数字来度量。我们想要找出一条中国 SaaS 的路,我们必须先知道美国 SaaS 的路,然后才能分析这条路在中国是否能够行得通。希望本文能够对你有所帮助。就像在知乎上面有人问,如果地球人生活在三体星是一种什么样的体验?我觉得,如果我们能够通过构建模型来观察事物的变化和发展,那比实际在现实中用时间和金钱去实验要好得多,因此,我写下了这篇文章。
在下一篇文章中,我打算针对大家所关心的和经常争论的 SaaS 话题发表一下我的看法,这些问题包括但不限于,我如何看待大客户和小客户,如何看待产品的轻与重,如何看待免费和收费,如何看待中国的 CRM 市场,等等。
敬请期待。















