空气输入法,浙大最新研究:空中动动手指,就能给智能手表输入文本
许多人日常在用的智能手表,它的文本输入要么靠语音,要么靠打字或手写。
但有时你可能不方便说话,或者在那么小的屏幕上戳键盘实在有点“局促”。
那咋办?
也许可以试试“隔空打字”法。
浙江大学就开发了这样一个名叫AirText的应用,只需你动动手指和手腕,手表就确识别空中字符,错误率低至3.9%。
还配备联想和推荐功能,让拼写速度更快。
给智能手表配上“隔空打字”功能
开发AirText的一个主要挑战在于如何让它理解手腕运动和指尖拼写动作的对应关系。
就像下面这张图所展示的,拼写时手腕呈现出来的轨迹和正常字母差得还挺多的。
为此,研究团队先借助了一个现成工具Leap Motion,它可以用红外传感器跟踪手势。
然后八名志愿者使用五种不同的智能手表拼出超过25000个字符,用Leap Motion收集相关的手腕和手指运动数据。
再将数据输入神经网络模型,进行训练,最终AirText可以根据用户手腕微小的动作变化推断指尖的轨迹。
然后,仅通过智能手表就可以高效、准确地将推断出的轨迹识别为相应的字符。
为了加快拼写速度,他们还给系统配上了单词预测和推荐功能。
预测单词会显示在手表屏幕的四个方向,我们可以将手表向上下左右倾斜就能进行选择(晃动手表可以退格)。
词错误率为3.9%
首先来看AirText的准确性测试。
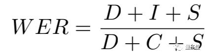
衡量指标为WER(词错误率,Word Error Rate),计算方法就是将错误字/识别正确的字。
其中错误字涉及三种类型:漏字(用I表示,即校对成正确的拼写时需要再插入的字的数量)、多字(用D表示,即需要删除的字数量)、错字(用S表示,即需要替换的字数量)。
将AirText与俩基线方法(IMU-CNN和BLSTM)相比,最终AirText得分最低,也就是准确性最高。
三者平均分分别为3.9%、30.9%和57.1%。
以上是单用户在单设备上的测评结果。
为了更准确,他们还测试了多用户和多设备,结果如下:
左图中,同一个用户使用5种不同智能手表测试AirText获得的准确率得分分别为:8.3%、7.5%、6.5%、7.7%和3.9%。
研究人员表示,7%的WER意味着平均每15个单词中有一个识别错误,这对于隔空手写来说还是可以接受的。
右图中,8位不同用户使用同一手表获得了11.2%、5.9%、4.3%、4.0%、3.6%、5.9%、4.7%和3.9%的WER。
从中我们可以看出,与不同的设备相比,不同的用户对准确性的影响更大。
不过研究人员表示,借助模型更新组件,AirTex 仍然可以针对不同用户实现较高的准确率。
然后是速度测试。
由于BLSTM基线的WER约为57%,错误率太高,研究人员只比较了AirText和IMU-CNN两者的速度。
衡量指标是WPM(单词/每分钟,Word Per Minute),其计算方式为用总体输入字数-错误字数/时间。
结果AirText的平均WPM为8.1,而IMU-CNN基线的WPM仅为4.6。
研究人员指出,此输入速度与一些基于双手触摸屏的文本输入方法相当(这些方法在实际应用中的WPM为9.1、9.8WPM)。
总体来看,AirText的准确率不错,但速度还需要进步。
慢的主要原因还是因为它每拼写一个字符就需停顿一会儿。
研究人员正在研究破解办法,并表示最终有兴趣将AirText商业化。
作者介绍
一作为浙江大学计算机学院助理教授高艺,浙江大学博士毕业,研究方向包括嵌入式软件、无线和移动计算、传感器网络和信息物理系统。
通讯作者为浙大计算机学院副教授、博导董玮,同样为浙大博士毕业,研究方向包括物联网系统和网络、边缘计算、无线和移动计算。
其谷歌学术引用次数总计3000+。
论文地址:
https://ieeexplore.ieee.org/document/9625777
参考链接:
https://spectrum.ieee.org/smartwatch-input-finger-writing
本文来自微信公众号“量子位”(ID:QbitAI),作者:丰色,36氪经授权发布。















