比特币挖矿代价有多大?中科院、清华等学者:预计2024年耗电近3000亿度、碳排放1.3亿吨
编者按:本文来自微信公众号“学术头条”(ID:SciTouTiao),作者:库珀,36氪经授权发布。
随着比特币(BTC)在全球范围内获得广泛认可,其所代表的价值可谓水涨船高,如今 1 BTC 就能兑换成约 58154 美元的 “真金白银”。况且,这么值钱的比特币理论上最多只有 2100 万枚,数量非常有限,这就吸引了越来越多的个人和团队耗费大量资源去 “挖” 这种 “数字黄金”。
简单类比,这个过程就像开采金矿一样,众多比特币 “矿工” 或者 “矿场” 通过 “加密货币矿机” 全年不停歇地进行 “挖矿”,不断获取比特币财富。
但是,在这一财富密码背后,比特币矿机的耗电量十分惊人。据剑桥研究人员曾公布的一项比特币耗电指数显示,如果把比特币看作是一个国家,它的耗电量足以排进全球前 30,“挖矿” 活动目前年耗电量约为 121.36 太瓦时(TWh,1 太瓦时为 10 亿度电),超乎人们的想象,除非比特币价格大幅下跌,否则耗电量仍将只增不减。
那么,在中国,比特币区块链运行造成的耗电量,以及当前和未来的碳排放模式又是怎样的?关于这个问题,来自中国科学院、清华大学地球系统科学系的专家团队及其合作者对此进行了建模分析,相关论文已于 4 月 6 日发表在科学期刊《自然通讯》(Nature Communications)上。
图|中国的比特币区块链运营碳排放量与可持续性政策评估(来源:Nature Communications)
研究发现,在没有任何政策干预的情况下,中国境内的比特币区块链年能源消耗预计将在 2024 年达到峰值,约为 296.59 太瓦时,并相应产生 1.3050 亿吨的碳排放,这在国内 182 个城市和 42 个工业部门中名列前十。此外,研究人员还对比特币挖矿的碳排放水平管控政策措施进行了探讨。
财富驱使下的疯狂
近年来,基于系统动力学(SD)的模型被广泛应用于某一特定领域或行业的碳排放流量估算,在这基础上,研究人员开发了比特币区块链碳排放模型(BBCE),以评估不同情景下中国比特币网络运营的碳排放水平。
他们建立了比特币区块链碳排放系统的系统边界和反馈回路,作为研究比特币区块链碳排放机制的理论框架,大体上,BBCE 模型由三个子系统组成:比特币区块链挖掘与交易子系统、能耗子系统和碳排放子系统。
图|BBCE 建模流程图(来源:Nature Communications)
在 “挖矿” 过程中,当区块被正式广播到比特币区块链时,为了提高挖出新区块并获得奖励的概率,矿工们会投入更高的算力(也称哈希率)进行挖矿,这将导致整个比特币网络的算力上升。由于比特币挖矿过程中的能耗由网络能耗和平均电价决定,因此会反过来影响比特币开采者的动态行为。
BBCE 模型收集了煤基能源和水基能源地区比特币矿商的碳足迹,以制定中国整个比特币行业的总体碳排放量评估模型。其中,变量 GDP 水平由比特币矿工的利润率和总成本组成,反映了比特币区块链的累积生产率。在这项研究中,它还作为产生单位 GDP 碳排放量的辅助因素,为政策制定者对比特币矿业实施惩罚性碳税提供指导。
比特币区块链奖励每四年减半一次,这意味着到 2140 年在比特币区块链中广播新区块的奖励将为零。因此,由于比特币区块链的减半机制,比特币的市场价格会出现周期性上涨。最后,通过综合碳成本和能源成本,比特币开采过程的总成本为矿工的利润率和投资策略提供了负反馈。当采矿利润在 BBCE 模拟中变为负值时,矿工们会逐步停止在中国的挖矿或迁移到其他地方。
基于 BBCE 模型的基准模拟,中国比特币行业的年化能耗将在 2024 年达到峰值,为 296.59 太瓦时,这超过了意大利和沙特阿拉伯的能源消费总量水平,如果放到 2016 年所有国家碳排放榜单中能排到第 12 位;相应地,比特币业务的碳排放量将在 2024 年达到每年 1.3050 亿吨的峰值。
在中国,比特币矿业的排放量将在国内 182 个地级市和 42 个主要工业部门中排名前十,约占中国发电排放量的 5.41%,该行业的人均 GDP 最大碳排放量也将达到 10.77 千克 / 美元。
尽管工作量证明(PoW)共识算法使得比特币区块链能够以相对稳定的方式运行,但诱人的财富激励已经导致了基于专业比特币矿机不同阵营的军备竞赛持续升级。
图|比特币区块链工作证明算法的碳足迹(来源:Nature Communications)
最初,矿工们即使在通用计算机上使用常规的中央处理器(CPU)就能挖矿;之后,图形处理单元(GPU)也被用来挖矿,它提供了比 CPU 更高的功率和算力;目前,市面上为进行哈希运算而优化的专用集成电路(ASICs)大规模部署,快速的硬件迭代和激烈的挖矿竞争大大增加了比特币挖矿的资本支出。
比特币挖矿活动的扩大和矿机的增多导致了巨大的能源消耗量,每年的能源消耗水平与丹麦、爱尔兰或孟加拉国等中小型国家相当,这间接造成了巨大的碳排放。据估计,在 2016 年 1 月 1 日至 2018 年 6 月 30 日期间,高达 1300 万吨的二氧化碳排放可归因于比特币区块链。
特别是在中国,由于拥有专业的矿机制造商和廉价的电力供应,大部分挖矿过程都在中国进行,来自中国矿池的算力约占整个比特币网络的 75% 以上。
图|比特币区块链的矿池分布(来源:Nature Communications)
但作为世界上最大的能源消费国之一,中国是《巴黎协定》的主要签署国,如果没有适当的干预和可行的政策,中国密集的比特币区块链挖矿活动可能会迅速成为一种压力,干扰中国的碳减排努力。
不同政策情景下的发展趋势
根据 BBCE 模型的子系统构成,研究人员考虑了在比特币挖矿业不同阶段实施的三种主要比特币政策,然后制定了比特币区块链碳排放的四种情景评估。
图|场景参数设置(来源:Nature Communications)
在基准情景(BM)中 ,市场准入假设为 100%,这表明允许所有效率的盈利比特币矿工 / 矿商在中国运营。根据比特币矿工 / 矿商的实际区域统计数据,研究人员假设基准情景中 40% 的矿商位于煤炭发电地区。
在其他三种情况下,出于节能减排的考虑,对不同比特币开采程序的政策进行了调整。
具体而言,在比特币挖掘与交易子系统中,市场准入标准提高了一倍,即在市场准入(MA)情景下,禁止低效率的盈利矿工进入中国比特币市场,而政策制定者被迫以高效的方式维护比特币区块链的网络稳定性。
在场地整治(SR)情景中 ,说服并建议煤矿发电区的比特币矿商搬迁到水力资源丰富的地区,以利用该地区因雨季等因素而产生的相对较低的能源可用性成本。
在碳税情景(CT)中 ,碳税增加到初始值的两倍,以对比特币区块链的高碳排放行为实施更严厉的惩罚。
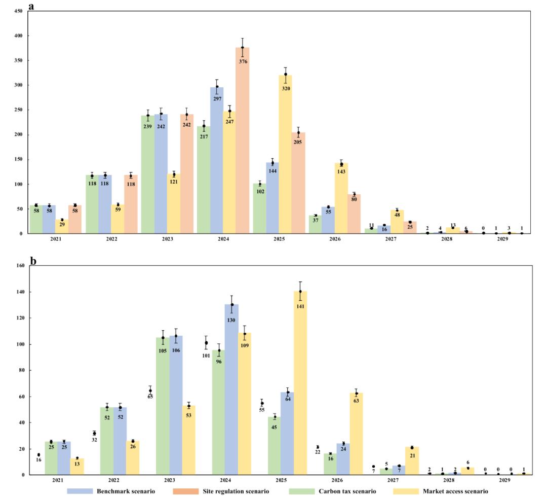
利用上述情景,研究人员对比特币区块链的碳排放流量和能源消耗进行了评估,并在 2014-2030 年期间的 BBCE 模拟中对不同政策的碳和能源减排效果进行了评估。
结果是,如果没有任何政策干预,比特币区块链的碳排放模式将成为中国可持续发展努力不可忽视的障碍。预计中国比特币区块链的年能源消耗和碳排放峰值将超过意大利、荷兰、西班牙和捷克等一些发达国家。作为最小政策干预下的基线评估,基准情景模拟比特币区块链网络的自然运行结果。
在 BM 情景下,在中国,比特币区块链的年能源消耗将逐渐增长,并最终在 2024 年达到峰值,为每年 296.59 太瓦时,这表明比特币行业运营将持续遵循能源密集型模式。关于 CT 场景,由于碳排放罚款,比特币行业的最高能源需求略有下降,为 217.37 太瓦时;然而,MA 和 SR 情景下的结果表明,2024 年和 2025 年比特币行业的总能耗将分别达到 350.11 Twh 和 319.80 Twh。
相比之下,比特币区块链产生的碳排放在 SR 和 CT 情景中显著减少,这说明了严厉碳相关政策的积极影响。相反,MA 情景见证了比特币碳排放量在 2025 年大幅增加至 1.4071 亿吨。
图|不同情景年度模拟结果,年化能耗(a)和碳排放量(b)(来源:Nature Communications)
基于 BBCE 模型的情景结果,基准情景表明,只要开采比特币保持其在中国的盈利能力,比特币行业运营产生的能源消耗和碳排放将持续增长。这主要是由于工作量证明竞争机制的正反馈回路,要求比特币矿工拥有先进且高能耗的矿机,以增加获得区块奖励的概率。此外,所提出的系统动力学模型所模拟的碳排放流量和长期趋势与之前的几个估计值一致,这些估计值用于精确估计比特币区块链的碳足迹。
研究人员认为,在中国目前的国民经济和碳排放核算中,比特币区块链的运营并没有被列为碳排放和生产率计算的独立部门。 这给政策制定者监控比特币行业的实际行为和设计有针对性的政策增加了难度。事实上,比特币网络的每笔交易能耗要大于众多主流金融交易渠道。
为了解决这个问题,研究人员建议政策制定者为比特币行业设立单独的监管账户,以便更好地管理和控制该产业在中国的碳排放行为。
图|比特币行业能耗和碳排放比较(来源:Nature Communications)
什么管理措施更有效?
通过情景分析,研究人员认为,在限制比特币区块链运营中的能源消耗总量和碳排放方面,导致采矿活动能源消费结构变化的政策可能比直观的惩罚措施更有效。
在整个模拟期间,BM 情景下中国比特币行业的人均 GDP 碳排放量大于所有其他情景,2026 年 6 月最高达到 10.77 千克 / 美元。然而,研究人员发现,MA 和常规 CT 情景下的政策有效性在碳排放强度降低方面相当有限,即 2027 年 8 月市场准入的政策有效性预计将降低,而碳税的政策有效性预计将持续到 2024 年 7 月。在所有预期的政策情景中,SR 显示出了最好的效果,能将比特币行业的人均 GDP 碳排放峰值降至 6 千克 / 美元。
总体来看,比特币行业的人均 GDP 碳排放量远远超过中国平均工业碳强度,表明比特币区块链运营是一个高碳密集型行业。
图|BBCE 情景评估比较(来源:Nature Communications)
在 BM 情景下,预计 2024 年 4 月比特币矿商的利润率将降至零,这意味着比特币矿商将逐步停止在中国的开采,并将业务转移到其他地方。然而,需要注意的是,整个搬迁过程并不是立即发生的,沉没成本较高的矿商往往比沉没成本较低的矿商运营时间更长,并希望最终再次盈利。因此,到 2030 年底,比特币开采相关的整体能源消耗仍为正值,届时几乎所有矿工都将搬迁到其他地方。
相应地,在 BM 场景中,网络哈希率计算为每秒 1775 EH,矿工总成本最高可达 12.68 亿美元。比较其他三项政策的情景结果,预计在 CT 情景下,中国开采比特币的盈利能力将更快恶化。另一方面,比特币区块链可以在 MA 和 SR 场景中维持较长时间的盈利能力。
基于 BBCE 模拟的结果可以得出一些有吸引力的结论:尽管 MA 方案提高了市场准入标准,提高了比特币矿商的效率,但它实际上提高了,而不是降低了模拟结果的排放量。在 MA 情景下,研究人员观察到了以往研究中提出的激励效应现象,这一现象在产业政策的其他领域,如货币政策、交通法规和企业投资策略中都有体现。
从本质上讲,市场准入政策的目的是限制低效率比特币矿商在中国的采矿作业。然而,幸存的矿工们都致力于压缩更多的网络哈希率,这使得他们能够在更长的时间内保持盈利。此外,在 MA 情景下,中国比特币行业产生了更多的 CO2 排放,这主要归因于工作证明(PoW)算法和比特币矿商的利润追求行为。MA 情景的结果表明,市场准入相关政策在处理比特币区块链运营的高碳排放行为方面可能不太有效。
碳税政策是公认的最有效、实施最普遍的碳减排政策。然而,模拟结果表明,碳税对比特币行业的有效性有限。在比特币矿商意识到其采矿利润受到比特币采矿惩罚性碳税的影响之前,CT 情景的碳排放模式与 BM 情景是一致的。
相反,SR 情景下的模拟数据表明,它能够为比特币区块链运营的碳排放提供负反馈,与 BM 情景相比,SR 情景下比特币行业的每 GDP 最大碳排放量减少了一半。
值得注意的是,尽管 SR 情景下比特币采矿业的峰值年化能耗高于 BM 情景下的峰值年化能耗,但在 SR 情景下,有相当高比例的矿工搬迁到水力资源丰富的地区进行比特币开采作业。因此,与 BM 方案相比,这自然降低了相关的碳排放成本。
区块链技术无罪
总体而言,在限制比特币开采准入、改变矿工能源消费结构、实施碳排放税等不同政策干预下,比特币区块链的碳排放强度仍远超中国工业平均排放强度。
这一结果表明,比特币作为区块链技术的典型案例,在不久的将来或将成为不容小觑的能源和碳密集型产业。
但是,比特币背后所代表的区块链技术,其去中心化的特性和以共识算法为信任机制的模式还是提供了一种新的解决方案,对各种产业发展和远程交易都是有益和具有创新性的。 近年来,区块链技术被大量的传统行业引入和采用,寻求优化其运营流程,如供应链金融、智能合约、国际商业和贸易以及制造业运营等。
值得关注的是,中国人民银行计划并设计一种基于区块链技术的央行数字货币(CBDC),即数字货币电子支付(DCEP),预计未来将逐渐取代中国目前基于纸币的流通中现金(M0)供应。随着区块链技术的广泛使用和应用,新的协议应该以环境友好的方式设计和调度。这一变化是确保网络可持续性的必要条件,毕竟没有人愿意看到一种颠覆性的、有前途的技术成为阻碍全球碳减排努力的碳密集型技术,上述权衡值得进一步探索和研究。
与传统产业不同的是,比特币区块链运营等新兴产业的碳排放量在目前的 GDP 和碳排放量计算中没有核算,如果没有适当的审计和监管,使用投入产出分析等传统工具来评估这些新兴产业的碳排放量是相当具有挑战性的,而这项研究结果也表明,系统动力学模型是研究新兴产业碳流动机制的一种很有前途的方法。
参考资料:
https://www.nature.com/articles/s41467-021-22256-3















