体脂秤,测得准脂肪吗?

精练GymSquare·2022年08月08日 11:14
体脂秤测不准体脂,因为人体成分是多变的。​

测体重的时代已经过去,体内的脂肪含量,才是青年男女的新潮身体指标。

几乎全民标配的体脂秤,成为高效测脂的核心工具。仅需10秒,体脂秤发送弱电流循环全身,从而估算一遍体内脂肪含量。原理在于:人体的脂肪几乎不导电,不导电的地方越多,体脂含量越高。

因此,即便日渐肥胖的当代人,对体脂秤是恐惧的,但一旦上秤后对体脂率的数据,深信不疑。

体脂秤,测得准脂肪吗?从目前来看,人手一块的体脂秤或许测不准脂肪。2-3kg的真实体脂量偏差,是国内医学杂志面向1300名受试者,得出的生物电阻抗测量结果。

之所以测不准,是因为相比不变的体重,人体成分是多变的。

比如多喝一瓶水含水量上升生物电阻下降,使体脂秤误认为脂肪占比减少。相反,脱水情况下,体脂秤上的人类多了二两肥肉,是因为脱水状态下人体电阻增加。

同样,一节全力HIIT课过后,体脂秤数值中肌肉量上升、体脂肪下降,不在于训练效果立刻生效,更在于生物环境变化后的身体电阻下降。

体脂秤未必精准,但正确使用体脂秤,决定它有所参考价值。

而在面对五花八门的体脂秤品类上,就要针对上下肢干的不同作出区分。除此以外,在使用体脂秤前避免身体摄入过多水分,也都是体脂秤使用指南中的基本说明。

体脂秤就像微信计步器,暂时做不到精准测量,更大的作用是监督减脂。

体脂测量术,从实验室走向卧室

想一探脂肪含量,在过去不算容易,更需要在专业实验室中进行。

这里有两个代表性案例——「水、气称重法」和「射线扫描法」。

「水称重法」要求被测者全程浸没在水中,似阿基米德在浴缸测量真金密度一般,测量体成分:人体的肌肉和体液密度较大,在水中会向下沉,而脂肪密度较小,在水中会上浮。

该方法最早于1969年被提出,利用这一原理,计算身体密度,从而推测体脂率。至于具体的测量公式有两类,比如Siri公式为:(4.95/Db-450)×100%,其中Db为人体密度,需要根据肺部气残量等数据测得。

但由于实验环节繁琐,后来也有将「水」换成「气」通过气压变化测量体脂,比如说目前市面售价25万人民币的BOD POD,而其单次的测量价格已接近300元。

简单来说,「水、气称重法」真正测出的,是与脂肪同体积、质量的液体和气体。

BOD POD

而另一测量方法更为专业,是进行核磁共振或DXA扫描法(双能X线测量),基于骨骼、肌肉和脂肪对弱X线吸收不同,从而反应人体的脂肪含量,当然也是目前较精确的方法之一。

比如说国内有中国运动医学杂志研究,借助DXA测量女性运动的体力活动,与骨密度关系等。该设备仅造价就达百万元人民币,通常出现在科研机构以及大型医院。

回到现在,两顿饭钱就能购入的体脂仪,满足了青年男女测体脂的方便快捷。

自2015年,「体脂率」的百度搜索指数一路飙升。与此同时,淘宝天猫等电商平台体脂秤的销量同步呈现上涨趋势。疫情期间,在失去健身房的居家者「养肥膘」「掉肌肉」的焦虑下,体脂秤断货更是成为热议话题。

举例来说,在2020年,苏宁开春大数据显示体脂秤销量增长1176%,小米体脂秤官网断货,有品体脂秤月销10万订单数字显示,体脂秤在成为中国减肥者的居家常备用品。

测体脂的工具,在向着百姓家用电器方向发展。

来源:DT财经

人体成分变化多端,体脂秤也许测不准

无论是卧室里的体脂秤,还是健身房的Inbody体脂仪,目前的测量原理都只有一个——BIA生物电阻抗法。

通俗的来解释生物电阻抗,即人体脂肪就像一块电阻,几乎不导电,但肌肉和体液可以导电。

基于这一原理,秤上数块电极片从脚底发送的电流,往往可以推测出身体中大部分的导电成分,并结合数字公式估算出体脂率。

但就目前来看,上秤5秒钟不足以准确分析人体成分的复杂结构。

在《中华预防医学杂志》2017年刊登的实验研究里,实验者通过对1300多名志愿研究者的DXA测量和生物电阻抗阻测量数据进行对比研究。

数据显示,电阻抗法测量成年超重男性、肥胖男性、肥胖女性的全身肌肉含量与DXA测量结果的差值平均约为2-3kg,均有统计学意义。

最直接的原因是,人类体内的多余水分,会使体脂秤测出的脂肪占比被动下降。

DXA测量和生物电阻抗阻测量对比 来源:《中华预防医学杂志》

由于液体电阻较小,往往会干扰微电流测量。相反,脱水被认为是影响生物电阻测量的主要因素,因为会导致人体电阻增加,比如1986年《应用生理学杂志》就指出,脱水情况下,生物电阻测试会忽略5kg的无脂肪质量。

看起来,喝完一瓶水再去测体脂未必测得准。当然,吃完一顿饭也是同理。

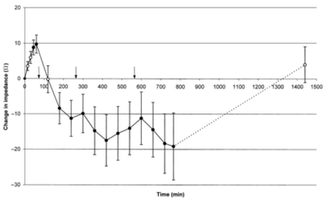
《美国临床医学杂志》在2001年发表研究,指出当在进食后不久进行测量时,体脂含量会处于较低值,甚至导致一天中体脂含量最高和最低读数之间的差异达4.2%。

身体电阻值一天内的变化 来源:《美国临床医学杂志》

除了吃喝影响,一场运动过后再踩上体脂秤,测量数据也有一定误差。

具体来说,测量前的中强度运动,会导致体内电阻下降无脂质量放大,而「低估」体脂百分比。

比如在近10年来的多项生理学研究中,生物电阻抗法测量之前进行90-120分钟的中等强度运动,会导致测试仪器多纳入12公斤的无脂质量。

因此,一节全力HIIT课过后,测出的肌肉量上升、体脂肪下降,不在于训练效果立刻生效,而是被体脂秤骗了。

体脂秤未必精准,但足以监督减肥

居家体脂秤可能测不准我们的脂肪含量,但也足以监督减脂。

至少对于更多胖友来说,一块体脂秤是靠得住的。

腰围和臀围数值相对更大的人群,采用生物电阻抗法测算体脂会更精准。2019年《美国运动医学杂志》招募了92名19-72岁的受试者,比对他们生物电阻抗法以及BOD POD气压测量法的体脂率差值。

如图所示,腰、臀围更大,体脂占比的误差值往往在10%之间:

腰、臀围更大,体脂占比的误差值越小 来源:《美国运动医学杂志》

当然,对于更多大众健身者,正确使用体脂秤,决定它有所参考价值。

比如目前市面常见的体脂秤,往往仅以配备脚部电机片为主,这种测量方式集中于下肢躯干的体脂分析,微电流难以进入上肢,因此对于脂肪集中在臀、腿部位的女性,或许不够友好。

同时,也能看到健身房内、以及更多价格偏高的体脂秤、体脂仪,会采取拇指部位以及脚跟部位同时测量的方式,尽可能保证弱电流在全身循环测试。

除了筛选合适的体脂秤品类,在使用过程中也有如下指南:

尽可能使用同一种体脂秤,在每天的同一时间进行测量;

采取空腹形式,避免测量前剧烈运动。同时,保持皮肤干燥,可在晨起上厕所后进行测量;

测量时避免肢体间发生接触,导致电流测量紊乱。

体脂秤暂时做不到精准测量,更多是提醒健身者关注脂肪率变化。通过体脂秤来维系健身习惯,或许比获得一张精确的「体脂分析单」更加重要。

本文于2020年07月在精练GymSquare公众号首发,经编辑。

本文来自微信公众号“精练GymSquare”(ID:GymSquare),作者:Aurora Cai,36氪经授权发布。

+1
25

好文章,需要你的鼓励

参与评论
评论千万条,友善第一条
后参与讨论
提交评论0/1000

下一篇

从长期来看,企业最重要的资产和核心竞争力,是品牌,是人心,而不是资产多寡、赛道优劣、抑或ROE高低。

2022-08-08

36氪APP让一部分人先看到未来
36氪
鲸准
氪空间

推送和解读前沿、有料的科技创投资讯

一级市场金融信息和系统服务提供商

聚焦全球优秀创业者,项目融资率接近97%,领跑行业